Basic information Reaction Safety Related Supplier
(1S,2S)-N,N'-DI-P-TOLUENESULFONYL-1,2-DIPHENYL-1,2-ETHYLENEDIAMINE Structure

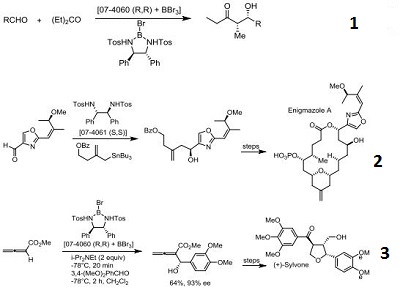
(1S,2S)-N,N'-DI-P-TOLUENESULFONYL-1,2-DIPHENYL-1,2-ETHYLENEDIAMINE

Chemical Properties

Melting point 202-204 °C
Boiling point 697.1±65.0 °C(Predicted)
Density  1.1673 (rough estimate)
refractive index  1.6510 (estimate)
storage temp.  under inert gas (nitrogen or Argon) at 2-8°C
pka 10.05±0.50(Predicted)
form  Powder
color  white to light-yellow

Safety Information

Safety Statements  24/25

MSDS

Usage And Synthesis

(1S,2S)-N,N'-DI-P-TOLUENESULFONYL-1,2-DIPHENYL-1,2-ETHYLENEDIAMINE Supplier