4-氯-6,7-二甲氧基喹唑啉

英文名称:4-Chloro-6,7-dimethoxyquinazoline
CAS号:13790-39-1
分子式:C10H9ClN2O2
分子量:224.64
EINECS号:672-791-6
Mol文件:13790-39-1.mol
4-氯-6,7-二甲氧基喹唑啉 结构式

4-氯-6,7-二甲氧基喹唑啉 性质

熔点 185 °C
沸点 345.5±37.0 °C(Predicted)
密度 1.321±0.06 g/cm3(Predicted)
储存条件 Keep in dark place,Sealed in dry,Room Temperature
形态 粉末晶体
酸度系数(pKa) 0.77±0.30(Predicted)
颜色 白色至黄色
水溶解性 Insoluble in water.
InChI InChI=1S/C10H9ClN2O2/c1-14-8-3-6-7(4-9(8)15-2)12-5-13-10(6)11/h3-5H,1-2H3
InChIKey LLLHRNQLGUOJHP-UHFFFAOYSA-N
SMILES N1=C2C(C=C(OC)C(OC)=C2)=C(Cl)N=C1
CAS 数据库 13790-39-1(CAS DataBase Reference)

4-氯-6,7-二甲氧基喹唑啉 用途与合成方法

4-氯-6,7-二甲氧基喹唑啉是合成4位取代的6,7-二甲氧基喹唑啉类衍生物的重要中间体,6,7-二甲氧基喹唑啉类衍生物对血小板衍生生长因子受体( PDGFR ) 具有抑制性, 从而表现出能抑制多种癌细胞, 而对正常细胞没有损伤。
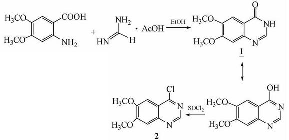
4-氯-6,7-二甲氧基喹唑啉可以 4 , 5- 二甲氧基 -2- 氨基苯甲酸为原料,经过环化、氯化反应而得。其合成反应式如下图:

4-氯-6,7-二甲氧基喹唑啉的合成反应式

图 4-氯-6,7-二甲氧基喹唑啉的合成反应式

安全信息

危险品标志Xi
危险类别码36/37/38
安全说明26-36/37/39-37
Hazard NoteIrritant
海关编码2933998090

4-氯-6,7-二甲氧基喹唑啉 价格(试剂级)

更新日期 产品编号 产品名称 CAS号 包装 价格
2026-03-03 H28405 4-氯-6,7-二甲氧基喹唑啉,98% 13790-39-1 5g 686
2025-12-22 HY-Y0260 4-氯-6,7-二甲氧基喹唑啉 13790-39-1 5 g 120

4-氯-6,7-二甲氧基喹唑啉供应商 更多

上海健超生物科技有限公司
黄金产品
联系电话:150-2103-5486 18017383231
产品介绍:
中文名称:4-氯-6,7-二甲氧基喹唑啉
英文名称:4-Chloro-6,7-dimethoxyquinazoline
CAS:13790-39-1
纯度:98%
包装信息:g;kg
备注:白色固体,常备库存
南京司凡克化工有限公司
黄金产品
联系电话:025-58699658 13814094318
产品介绍:
中文名称:4-氯-6,7-二甲氧基喹唑啉
英文名称:4-Chloro-6,7-dimethoxyquinazoline
CAS:13790-39-1
纯度:99%
备注:200克
山东道合药业有限公司
黄金产品
联系电话:18254622207 18860615010
产品介绍:
中文名称:4-氯-6,7-二甲氧基喹唑啉
英文名称:4-Chloro-6,7-dimethoxyquinazoline
CAS:13790-39-1
纯度:99%
包装信息:1kg;5kg;25kg
南京纽安洁化工科技有限公司
现货
联系电话:0515-82159099 13770142076
产品介绍:
中文名称:4-氯-6,7-二甲氧基喹唑啉
英文名称:4-Chloro-6,7-dimethoxyquinazoline
CAS:13790-39-1
纯度:97% HPLC
包装信息:100G,500G,1KG
库存量:30g
现货日期:2026/3/31 16:12:28
武汉欣扬瑞和化学科技有限公司
现货
联系电话:027-83855316; 18171155316
产品介绍:
中文名称:4-氯-6,7-二甲氧基喹唑啉
英文名称:4-Chloro-6,7-dimethoxyquinazoline
CAS:13790-39-1
纯度:GC/HPLC
包装信息:25kg/RMB 60
备注:产品咨询:手机18171155316(可加微信) QQ:3317533608
库存量:1g
现货日期:2026/4/1 17:33:43

4-氯-6,7-二甲氧基喹唑啉新闻专题 更多