Basic information Safety Related Supplier
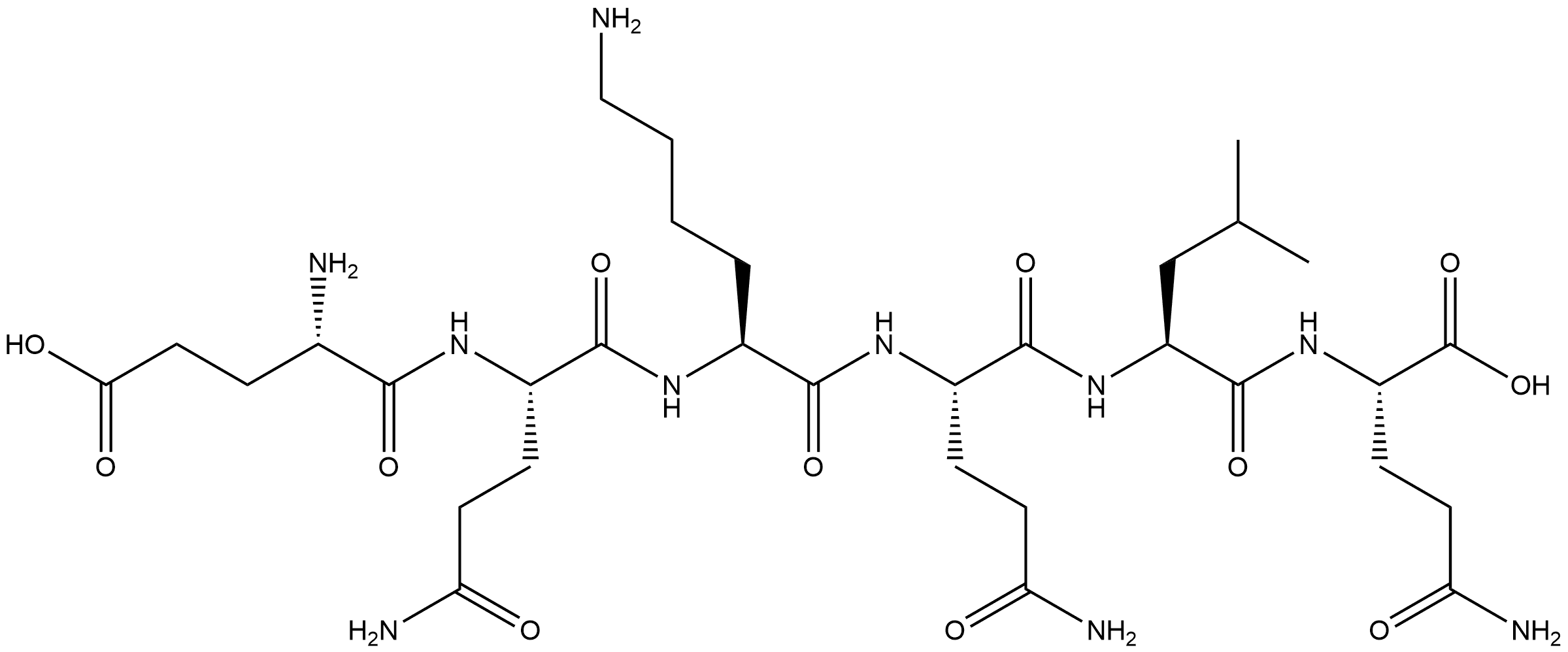
L-Glutamine, L-α-glutamyl-L-glutaminyl-L-lysyl-L-glutaminyl-L-leucyl- Structure

L-Glutamine, L-α-glutamyl-L-glutaminyl-L-lysyl-L-glutaminyl-L-leucyl-

Chemical Properties

Boiling point 1374.1±65.0 °C(Predicted)
Density  1.314±0.06 g/cm3(Predicted)
pka 3.25±0.10(Predicted)

Usage And Synthesis

L-Glutamine, L-α-glutamyl-L-glutaminyl-L-lysyl-L-glutaminyl-L-leucyl- Supplier