Basic information Safety Related Supplier
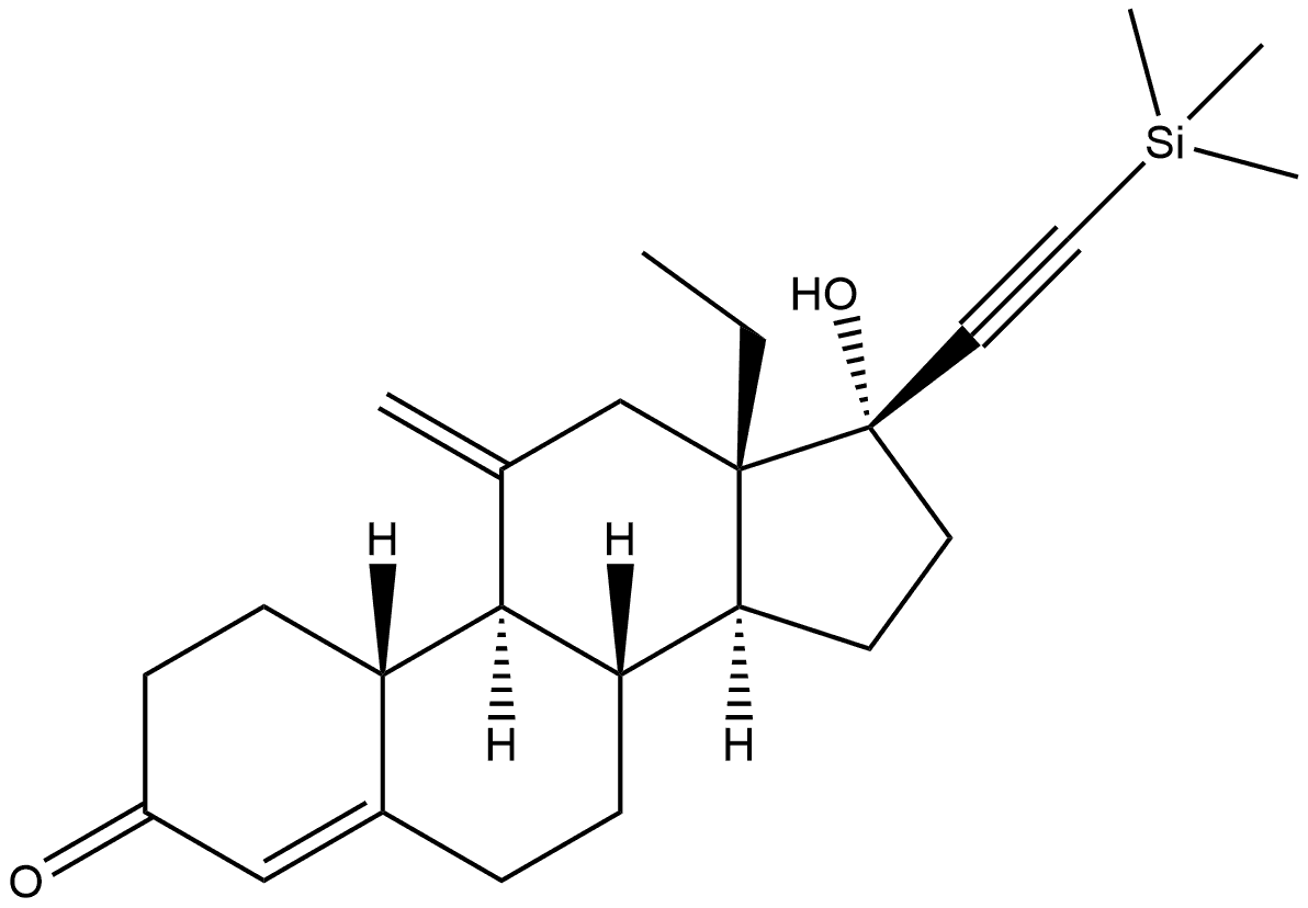
(17α)-13-Ethyl-17-hydroxy-11-methylene-21-(trimethylsilyl)-18,19-dinorpregn-4-en-20-yn-3-one Structure

(17α)-13-Ethyl-17-hydroxy-11-methylene-21-(trimethylsilyl)-18,19-dinorpregn-4-en-20-yn-3-one

Chemical Properties

Boiling point 502.4±50.0 °C(Predicted)
Density  1.07±0.1 g/cm3(Temp: 20 °C; Press: 760 Torr)(Predicted)
pka 13.54±0.40(Predicted)