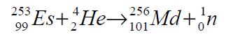
Mendelevium was synthesized first by bombarding Einstein-253 with helium ions. The nuclear reaction is:

All isotopes of medelevium have been synthesized by other nuclear reactions since its discovery. They are prepared by bombarding uranium, einsteinium, and californium isotopes with heavy ions, such as boron-11, carbon12 and carbon-13.

For example, uranium-238 when bombarded with fluorine-19 produced Md252. Also, certain nuclear reactions carried out by heavy ion projectiles involve ‘stripping’ reactions in which some protons and neutrons may transfer from the projectiles onto the target nucleus, but the latter might not capture the projectile heavy ion.