Basic information Safety Related Supplier
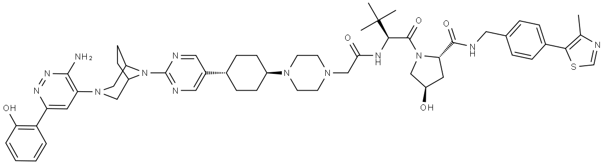
PROTAC SMARCA2/4-degrader-32 Structure

PROTAC SMARCA2/4-degrader-32

Chemical Properties

Density  1.314±0.06 g/cm3(Temp: 25 °C; Press: 760 Torr)(predicted)
pka 6.274±0.30(predicted)

Usage And Synthesis

PROTAC SMARCA2/4-degrader-32 Supplier