Basic information
Safety
Related
Supplier
my chemicalbook
En
中文
Sign in
Register
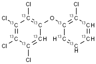
2,2',3,4,5-Pentachloro(13C12)diphenyl ether
Product Name
2,2',3,4,5-Pentachloro(13C12)diphenyl ether
CAS
1621005-50-2
MF
C12H5Cl5O
MW
354.34
EINECS
MOL File
1621005-50-2.mol
Chemical Properties
Density
1.558±0.06 g/cm3(Temp: 25 °C; Press: 760 Torr)(predicted)
2,2',3,4,5-Pentachloro(13C12)diphenyl ether Supplier
Guangzhou Shunping Biotechnology Co., Ltd.
Tel
17264149895
Email
PROMPT
×
PROMPT
The What'sApp is temporarily not supported in mainland China
Cancel
Determine
Send Inquriy
MSDS
|
CAS
|
CAS DataBase
|
Pricacy
|
Terms
|
About Us
|
New Products
|
Contact us
|
Computer Version
Chemical Book