Basic information Safety Related Supplier
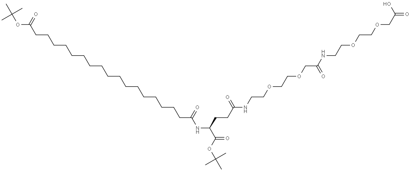
3,6,12,15-Tetraoxa-9,18,23-triazadotetracontanedioic acid, 22-[(1,1-dimethylethoxy)carbonyl]-10,19,24-trioxo-, 42-(1,1-dimethylethyl) ester, (22S)- Structure

3,6,12,15-Tetraoxa-9,18,23-triazadotetracontanedioic acid, 22-[(1,1-dimethylethoxy)carbonyl]-10,19,24-trioxo-, 42-(1,1-dimethylethyl) ester, (22S)-

Chemical Properties

Boiling point 947.177±65.00 °C(Press: 760.00 Torr)(predicted)
Density  1.075±0.06 g/cm3(Temp: 25 °C; Press: 760 Torr)(predicted)
pka 3.394±0.10(predicted)

3,6,12,15-Tetraoxa-9,18,23-triazadotetracontanedioic acid, 22-[(1,1-dimethylethoxy)carbonyl]-10,19,24-trioxo-, 42-(1,1-dimethylethyl) ester, (22S)- Supplier