Basic information Safety Related Supplier
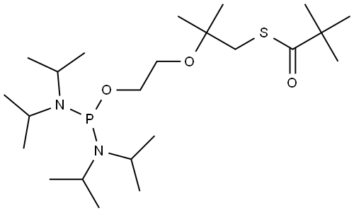
S-(2-(2-((bis(diisopropylamino)phosphino)oxy)ethoxy)-2-methylpropyl) 2,2-dimethylpropanethioate Structure

S-(2-(2-((bis(diisopropylamino)phosphino)oxy)ethoxy)-2-methylpropyl) 2,2-dimethylpropanethioate

Chemical Properties

Boiling point 489.6±55.0 °C(predicted)
pka 7.20±0.70(predicted)