Basic information Safety Related Supplier
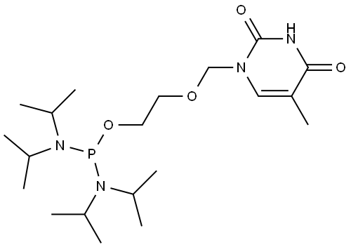
1-((2-((bis(diisopropylamino)phosphino)oxy)ethoxy)methyl)-5-methylpyrimidine-2,4(1H,3H)-dione Structure

1-((2-((bis(diisopropylamino)phosphino)oxy)ethoxy)methyl)-5-methylpyrimidine-2,4(1H,3H)-dione

Chemical Properties

pka 9.50±0.10(predicted)