花椒毒素
中文名称:花椒毒素
英文名称:8-Methoxypsoralen
CAS号:298-81-7
分子式:C12H8O4
分子量:216.19
EINECS号:206-066-9
Mol文件:298-81-7.mol
花椒毒素 性质
| 熔点 | 148-150 °C(lit.) |
|---|---|
| 沸点 | 276.6°C (rough estimate) |
| 密度 | 1.1344 (rough estimate) |
| 折射率 | 1.4270 (estimate) |
| 储存条件 | Sealed in dry,Room Temperature |
| 溶解度 | H2O:微溶 |
| 形态 | 针状结晶或粉末 |
| 颜色 | 白色至黄色 |
| 水溶解性 | PRACTICALLY INSOLUBLE |
| Merck | 14,5988 |
| BRN | 196453 |
| 主要应用 | cleaning products cosmetics food and beverages personal care |
| InChI | 1S/C12H8O4/c1-14-12-10-8(4-5-15-10)6-7-2-3-9(13)16-11(7)12/h2-6H,1H3 |
| InChIKey | QXKHYNVANLEOEG-UHFFFAOYSA-N |
| SMILES | COc1c2OC(=O)C=Cc2cc3ccoc13 |
| LogP | 1.523 (est) |
| CAS 数据库 | 298-81-7(CAS DataBase Reference) |
| (IARC)致癌物分类 | 1 (Vol. 24, Sup 7, 100A) 2012 |
| NIST化学物质信息 | Methoxsalen(298-81-7) |
| EPA化学物质信息 | Methoxsalen (298-81-7) |
花椒毒素 用途与合成方法
花椒毒素是一个具有强光敏性的呋喃香豆素类天然化合物, 又名8-甲氧基补骨脂素,外观为细针状晶体(热水或苯-石油醚)或钭方棱柱结晶(醇-醚),无臭,味苦并具刺激感,易溶于氯仿,溶于沸醇、丙酮、乙酸、苯、植物油、丙二醇,微溶于沸水、醚及液体石蜡,不溶于冷水。碱性水溶液中开环,中和后又关环。
花椒毒素最早从大阿美(Ammi majus L.)果实中分离获得, 现发现主要存在于伞形科和芸香科等植物中。国外临床上主要用于补骨脂素类化合物加紫外光疗法(PUVA)治疗白癜风、牛皮癣等皮肤顽疾。近些年来发现花椒毒素对血液中多种DNA病毒和RNA病毒等有很好的灭活作用,另外,还可以诱导肿瘤细胞凋亡。
有关花椒毒素的概述、主要物性、合成方法、含量测定是由Chemicalbook的侍艳编辑整理。(2016-01-13) 丝状针形结晶(热水或苯-石油醚),钭方棱柱结晶(乙醇-乙醚),熔点148℃。几乎不溶于水,略溶于沸水、液体矿脂和乙醚,溶于沸乙醇、丙酮、乙酸、丙二醇和苯,易溶于氯仿。无色针晶(乙醇),熔点148~149.5℃。
UVλmaxnm(lgε):219(4.32),249(4.35),300(4.06)。
UVλmaxC2H5OHnm(lgε):219(4.38),245(sh,4.34),250(4.37),264(sh,4.13),300(4.07)。
IRνmaxKBrcm-1:1720,1710,1620,1582,1545。
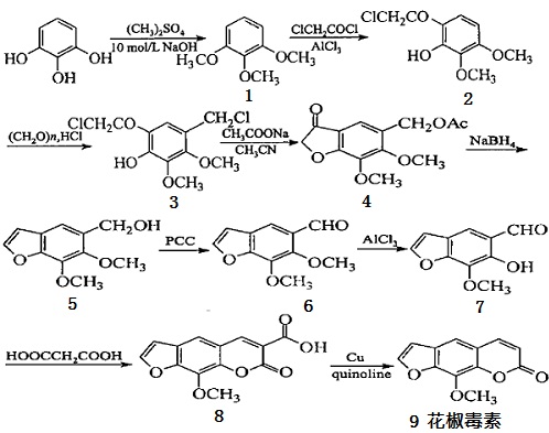
1HNMR(CDCl3)δ:4.30 (3H,s,OCH3),6.35 (1H,d,J=9.5Hz,H-3),6.82 (1H,d,J=2.5Hz,H-3′),7.33 (1H,s,H-5),7.68 (1H,d,J=2.5Hz,H-2′),7.75 (1H,d,J=9.5Hz,H-4)。 以廉价的连苯三酚为原料, 经甲酯化得到1 , 2 , 3-三甲氧基苯(1), 再经傅-克反应引入氯乙酰基, 之后经氯甲基化得到中间体(3), 再经环合、硼氢化钠还原得5 , 然后分别用选择性氧化剂PCC(py ridinum chlo rochromate)将5 上的伯醇羟基氧化为醛, 三氯化铝脱甲基得(7)。最后经过Knoevenagel反应, 并脱羧, 得到花椒毒素(9)。

图1为花椒毒素的合成路线 HPLC法
(1)色谱条件 色谱柱为YWG-C18柱(10μm,200cm×4.6mm ID);甲醇-水(65:35)为流动相;检测波长297nm;柱温30℃;柱效n(花椒毒素) =4702/柱。
(2)对照品溶液的配制 精密称取花椒毒素对照品10mg,加甲醇定容于50ml量瓶中,即为对照品母液,其浓度为200μg/ml。各取母液适量精密配制成浓度为1、2、3、4μg/ml的系列对照品溶液,待测定用。
(3)样品溶液的制备 精密称取白花前胡根和茎叶的细粉各0.5g,分别用5ml氯仿加热回流提取2次,每次1h。合并提取液,蒸干氯仿,加甲醇溶解定容至5ml量瓶中。吸取1ml稀释并定容于5ml量瓶中,再经0.20μm微孔滤膜过滤,即为样品液。
(4)测定 按上述色谱条件,进样1μl,对样品液进行测定。
(5)色谱图

图2为样品的高效液相色谱图
a.花椒毒素对照品;b.白花前胡根;c.白花前胡茎
(6)测定结果
白花前胡根和茎叶中花椒毒素的含量测定结果(n=5,%)如下所示:

花椒毒素最早从大阿美(Ammi majus L.)果实中分离获得, 现发现主要存在于伞形科和芸香科等植物中。国外临床上主要用于补骨脂素类化合物加紫外光疗法(PUVA)治疗白癜风、牛皮癣等皮肤顽疾。近些年来发现花椒毒素对血液中多种DNA病毒和RNA病毒等有很好的灭活作用,另外,还可以诱导肿瘤细胞凋亡。
有关花椒毒素的概述、主要物性、合成方法、含量测定是由Chemicalbook的侍艳编辑整理。(2016-01-13) 丝状针形结晶(热水或苯-石油醚),钭方棱柱结晶(乙醇-乙醚),熔点148℃。几乎不溶于水,略溶于沸水、液体矿脂和乙醚,溶于沸乙醇、丙酮、乙酸、丙二醇和苯,易溶于氯仿。无色针晶(乙醇),熔点148~149.5℃。
UVλmaxnm(lgε):219(4.32),249(4.35),300(4.06)。
UVλmaxC2H5OHnm(lgε):219(4.38),245(sh,4.34),250(4.37),264(sh,4.13),300(4.07)。
IRνmaxKBrcm-1:1720,1710,1620,1582,1545。
1HNMR(CDCl3)δ:4.30 (3H,s,OCH3),6.35 (1H,d,J=9.5Hz,H-3),6.82 (1H,d,J=2.5Hz,H-3′),7.33 (1H,s,H-5),7.68 (1H,d,J=2.5Hz,H-2′),7.75 (1H,d,J=9.5Hz,H-4)。 以廉价的连苯三酚为原料, 经甲酯化得到1 , 2 , 3-三甲氧基苯(1), 再经傅-克反应引入氯乙酰基, 之后经氯甲基化得到中间体(3), 再经环合、硼氢化钠还原得5 , 然后分别用选择性氧化剂PCC(py ridinum chlo rochromate)将5 上的伯醇羟基氧化为醛, 三氯化铝脱甲基得(7)。最后经过Knoevenagel反应, 并脱羧, 得到花椒毒素(9)。

图1为花椒毒素的合成路线 HPLC法
(1)色谱条件 色谱柱为YWG-C18柱(10μm,200cm×4.6mm ID);甲醇-水(65:35)为流动相;检测波长297nm;柱温30℃;柱效n(花椒毒素) =4702/柱。
(2)对照品溶液的配制 精密称取花椒毒素对照品10mg,加甲醇定容于50ml量瓶中,即为对照品母液,其浓度为200μg/ml。各取母液适量精密配制成浓度为1、2、3、4μg/ml的系列对照品溶液,待测定用。
(3)样品溶液的制备 精密称取白花前胡根和茎叶的细粉各0.5g,分别用5ml氯仿加热回流提取2次,每次1h。合并提取液,蒸干氯仿,加甲醇溶解定容至5ml量瓶中。吸取1ml稀释并定容于5ml量瓶中,再经0.20μm微孔滤膜过滤,即为样品液。
(4)测定 按上述色谱条件,进样1μl,对样品液进行测定。
(5)色谱图

图2为样品的高效液相色谱图
a.花椒毒素对照品;b.白花前胡根;c.白花前胡茎
(6)测定结果
白花前胡根和茎叶中花椒毒素的含量测定结果(n=5,%)如下所示:

化学性质
可溶于沸乙醇、乙酸、丙二醇、氯仿和苯,微溶于沸水、液体石蜡和乙醚,不溶于冷水。 来源于芸香科植物崖椒(Fagava zanthoxyloides Lam.)的果实 用途
用于治疗牛皮癣、白癫风等疾病 用途
一种有效的CYP抑制剂。8-MOP is a potent tricyclic furocoumarin suicide inhibitor of CYP (cytochrome P-450). As a member of the foranocoumarins, 8-Methoxypsoralen has shown more potency than 5-MOP, 5-OH-P , DH-8-MOP and psoralen in the inhibiton of CYP2B1 (cytochrome P-450 2B1). Methoxsalen has been shown to completely inhibit the metabolism of nicotine (sc-212379) in vitro. The compound has been observed to inhibit the metabolism of theophylline、 caffeine、hexobarbital and phenytoin. 用途
能与UVA照射诱导DNA中的单加合物和链间交联,来研究DNA修复和重组机制。 安全信息
| 危险品标志 | Xn,T |
|---|---|
| 危险类别码 | 22-43-46-45-34 |
| 安全说明 | 36/37-53-45-36/37/39-26 |
| 危险品运输编号 | 3216 |
| WGK Germany | 3 |
| RTECS号 | LV1400000 |
| F | 10 |
| TSCA | TSCA listed |
| 海关编码 | 29322090 |
| 存储类别 | 11 - 可燃固体 |
| 危险性类别 | 急性毒性 类别4 经口 致癌性 类别2 生殖细胞致突变性 类别2 皮肤致敏物 类别1 |
| 毒害物质数据 | 298-81-7(Hazardous Substances Data) |
| 毒性 | LD50 i.p. in rats: 470 ±30 mg/kg (Hakim) |
MSDS信息
语言:English
提供商:Methoxsalen
语言:English
提供商:SigmaAldrich
语言:English
提供商:ACROS
语言:Chinese
提供商:ALFA
语言:English
提供商:ALFA
花椒毒素 价格(试剂级)
| 更新日期 | 产品编号 | 产品名称 | CAS号 | 包装 | 价格 |
|---|---|---|---|---|---|
| 2026-03-03 | A17108 | 8-甲氧基补骨脂素, 99% | 298-81-7 | 5g | 1270 |
| 2026-03-03 | 21415 | 8-甲氧基补骨酯,99% | 298-81-7 | 5g | 1417 |
花椒毒素供应商 更多
常州市帕姆若商贸有限公司
黄金产品
联系电话:0519-81698808 13809072999
产品介绍:
中文名称:甲氧沙林
英文名称:Methoxsalen
CAS:298-81-7
纯度:99
包装信息:4000g
备注:kg
金匮(台州市)科技有限公司
黄金产品
联系电话: 18969655221
产品介绍:
中文名称:花椒毒素
英文名称:8-Methoxypsoralen
CAS:298-81-7
纯度:99%
包装信息:1KG
南通飞宇生物科技有限公司
黄金产品
联系电话:0513-68819626; 15152877458
产品介绍:
中文名称:花椒毒素,8-甲氧基补骨脂素
英文名称:8-Methoxypsoralen
CAS:298-81-7
纯度:98%
包装信息:根据客户要求包装
四川省维克奇生物科技有限公司
现货
联系电话:028-81700200 18116577057
产品介绍:
中文名称:花椒毒素
英文名称:8-Methoxypsoralen
CAS:298-81-7
纯度:HPLC≥98%
包装信息:20mg/240
备注:1g
库存量:1g
现货日期:2026/3/27 15:42:16
上海依赫生物科技有限公司
现货
联系电话:021-68882955 17721395025
产品介绍:
中文名称:花椒毒素
英文名称:Xanthotoxin,Methoxsalen
CAS:298-81-7
纯度:98% HPLC
包装信息:20mg;500mg;1g
备注:标准品/对照品
库存量:10瓶
现货日期:2026/3/25 18:00:13
花椒毒素生产厂家及价格列表
甲氧沙林;8-甲氧基补骨脂素;8-甲氧基补骨酯;甲氧基补骨脂素;花椒毒素;8-甲氧补骨脂素;甲氧补骨脂素;8-甲氧补骨脂
湖北恒硕化工有限公司
2026-04-03
花椒毒素,298-81-7, 萃园自制中药标准品对照品;实验科研级;≥98%以上
湖北萃园生物科技有限公司
2026-04-03