Basic information Safety Related Supplier
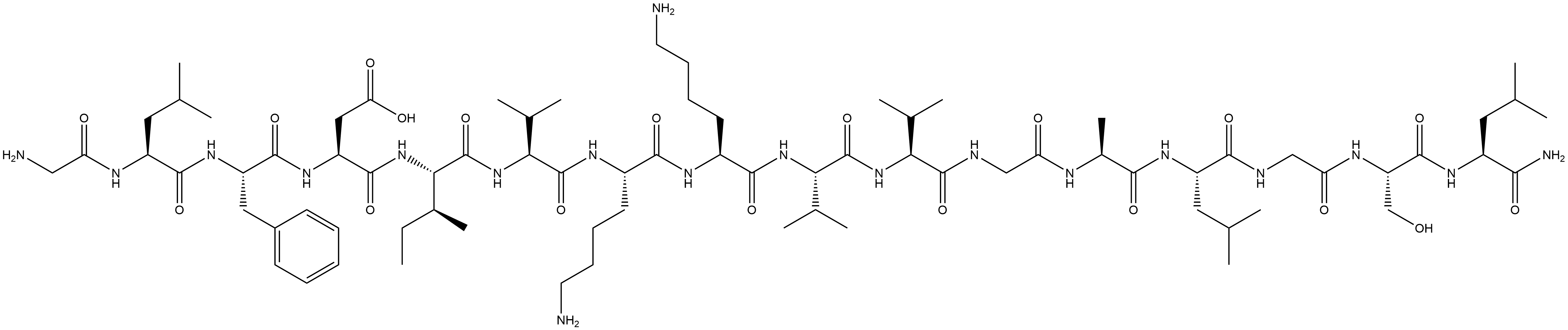
L-Leucinamide, glycyl-L-leucyl-L-phenylalanyl-L-α-aspartyl-L-isoleucyl-L-valyl-L-lysyl-L-lysyl-L-valyl-L-valylglycyl-L-alanyl-L-leucylglycyl-L-seryl- Structure

L-Leucinamide, glycyl-L-leucyl-L-phenylalanyl-L-α-aspartyl-L-isoleucyl-L-valyl-L-lysyl-L-lysyl-L-valyl-L-valylglycyl-L-alanyl-L-leucylglycyl-L-seryl-

Chemical Properties

Boiling point 1816.8±65.0 °C(Predicted)
Density  1.200±0.06 g/cm3(Predicted)
pka 4.20±0.10(Predicted)
Sequence Gly-Leu-Phe-Asp-Ile-Val-Lys-Lys-Val-Val-Gly-Ala-Leu-Gly-Ser-Leu-NH2

Usage And Synthesis

L-Leucinamide, glycyl-L-leucyl-L-phenylalanyl-L-α-aspartyl-L-isoleucyl-L-valyl-L-lysyl-L-lysyl-L-valyl-L-valylglycyl-L-alanyl-L-leucylglycyl-L-seryl- Supplier