乌药提取物 用途与合成方法
乌药提取物为樟科植物乌药Lindera aggregata (Sims) Kosterm. 的干燥块根水提或醇提物,含丰富的呋喃倍半萜及其内酯、黄酮、挥发油、异喹啉生物碱等, 具有抗炎、镇痛、抗病毒、抑菌、抗氧化、抗疲劳、调节消化道、松弛内脏平滑肌、改善中枢神经系统功能、调理妇科病症等药理作用。本信息是由Chemicalbook的侍艳编辑整理。 为樟科植物乌药Lindera aggregata (Sims) Kosterm. 的干燥块根。又名天台乌、台乌、台乌药、旁其、矮樟天台。乌药为药食兼用木本植物,在我国已有千年以上的历史。
【生境与分布】生于阳光充足、土壤肥沃的山坡灌木丛中或草丛等处。分布于湖北、湖南、江西、浙江、安徽、福建、江苏、广东、台湾等地。
【植物形态】常绿灌木或小乔木,高5 米。树皮灰绿色;叶互生,革质,椭圆形、卵形或近圆形,长3~7.5 厘米,宽1.5~4 厘米;叶柄长5~10 毫米。雌雄异株;伞形花序腋生;花被片6,淡绿色。果实椭圆形,长9 毫米,直径6 毫米,熟时黑色。花期3~4 月;果期10~11月。

图1为乌药 到目前为止,从乌药植物分离出的倍半萜类化合物有37种,得到的黄酮类25 种,生物碱有14种,单宁类化合物13种,甾体2种,其他类形化合物各3种。主要成分为直链脂肪酸,单萜及呋喃倍半萜烯类化合物。
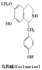
1.乌药碱(Coclaurine):分子式C17H19NO3,分子量285。片状结晶,mp.220℃~221℃(dl- 体)。

图2为结构式 1.对消化系统的影响
乌药提取物可通过作用迷走神经,使麻醉犬在位肠肌蠕动加速,收缩加强。乌药煎剂能使胃电图幅值、频率明显增高,并能增加消化液的分泌。
2.止血作用
乌药提取物能明显缩短家兔血浆再钙化时间,促进血凝。对兔、羊、犬股动脉部分切开及部分脾切除所致出血有良好的止血作用。
3.保肝作用
乌药正己烷提取物可预防四氯化碳引起的血清谷草转氨酶(GOT)和谷丙转氨酶 (GPT) 的升高。钓樟烯对四氯化碳所致血清转氨酶活性升高有抑制作用,可有效地抑制乙硫氨酸对血清转氨酶活性的增加及血清GOT水平的升高。并可保护肝脏免受脂肪浸润。
4.抗菌作用
乌药提取物对金黄色葡萄球菌、甲型溶血性链球菌、伤寒杆菌、变形杆菌、绿脓杆菌、大肠杆菌等均有抑制作用。鲜乌药叶煎剂对金黄色葡萄球菌、炭疽杆菌、乙型溶血性链球菌、白喉杆菌、大肠杆菌、绿脓杆菌、痢疾杆菌等也有抑制作用。
5.对心血管系统作用
给予去甲乌药碱10-8g/mL时即能加强蟾蜍离体心脏的收缩力。麻醉犬由静脉滴注1~4μg/kg,可使血压下降,心率加快,冠脉血流量明显增加,血管阻力降低。乌药挥发油口服有兴奋心肌、加速血液循环、升高血压作用。
6.对中枢神经系统的作用
乌药作为一种抗氧化剂, 可用来预防颅脑受伤后的癫痫发作;乌药提取物中的某些成分可通过竞争性或非竞争性抑制脯酰氨内酞酶(PEP), 下调对含有脯酰氨的脑肽如升压素、P 物质和促甲状腺素释放激素(TRH)的水解, 从而改善学习和记忆过程。
7.抗微生物作用
乌药的水和醇提取物对单纯疱疹病毒也有明显的抑制作用。乌药水煎液对呼吸道合胞病毒、柯萨奇病毒B1 、B3、B4 组有明显的抑制作用, 抑制指数均为4 个对数, 属高效抗病毒药物。
8.镇痛、抗炎作用
乌药的水、醇提取物均有明显的镇痛、抗炎活性。乌药LEF(抗炎活性组分)组分是乌药的活性组分, 研究表明:构成该组分的化学成分主要为缩合鞣质类成分, 该组分能有效地抑制继发性肿胀、风寒湿痹证肿胀以及炎性组织中前列腺素E2 (PGE2)的生成, 显示乌药有良好的抗风湿应用前景。
9.其他作用
乌药提取物可诱导小鼠产生细胞生长抑制因子, 抑制肿瘤生长, 延长患肺癌小鼠的生存期, 而对正常细胞不显示任何毒性, 疗效与剂量正相关。乌药还具有抗凝血酶作用。乌药还可清除氧自由基和开放线粒体ATP(三磷酸腺苷)通道从而保护缺血后心肌。
图3为乌药中乌药碱的提取分离 性状鉴别
乌药个多呈纺锤状,略弯曲,有的中部收缩成连珠状,长6~15cm,直径1~3cm。表面黄棕色或黄褐色,有细纵皱纹及稀疏的细根痕,并横生环状裂纹。质坚硬,不易折断。乌药片为圆片或斜圆片,厚0.5~2mm,切面黄白色至淡黄棕色而略显微红,微显粉性,有放射状纹理及年轮,中心颜色较深,平滑而有弹性。气香,味微苦、辛,有清凉感。 以片圆、厚薄均匀、色黄白或微红、气香、有粉性者为佳。质老、不呈纺锤状的直根,不可供药用。
显微鉴别
横切面: 木栓层为3~6列木栓细胞。皮层薄壁细胞4~5列。韧皮部纤维常单个散在。形成层成环。木质部宽广,导管稀少,单列呈断续放射状排列,木射线宽1~2列细胞,不甚明显。皮层、韧皮部散有椭圆形油细胞,内含黄色油滴,木质部油细胞少见。
紫外光谱鉴别
取样品粉末0.1g,加乙醇30ml,浸提24h,滤过,滤渣用乙醇5ml冲洗2次,合并滤液定容至50ml,吸取滤液2ml于10ml量瓶中,加乙醇至刻度,于岛津 UV 265FW型紫外可见分光光度计上,在200~ 400nm波长范围内测定其紫外光谱。结果块根在 205.2nm波长处有最大的吸收峰,其A值为0.268,茎在204.8nm波长处有最大吸收峰,其A值为0.170,直根在204.4nm处有最大吸收峰,其A值为0.240 。

图4为乌药的紫外光谱图
1.块根 2.直根 3.茎 1.用于胸胁满闷,脘腹胀痛,头痛,以寒凝气滞者尤为适宜。如胸腹胁肋闷痛,多配香附、甘草同用,方如小乌沉汤;治脘腹胀痛,可配木香、青皮、莪术等同用;如治胸膈满闷,上气喘急,常与沉香同用,方如四磨汤;若治脘腹痞满,大便秘结,喘逆,加用大黄、枳壳,方如六磨汤、六磨饮子;治痢疾腹痛后重,常与黄连、白头翁等药配用。
2.用于寒凝气滞所致的寒疝疼痛,经行腹痛及产后腹痛。若寒疝少腹痛引睾丸,常与小茴香、肉桂等同用,方如暖肝煎;再加川楝子同用,则为天台乌药散。治寒凝气滞,血行不畅之经行腹痛,经水不调,常与当归同用,方如乌药散;如治产后恶露不绝,少腹冷痛,常与炮姜、当归、川芎同用。
3.用于下元虚寒、气化无权之尿频、遗尿或小便不通。常与益智仁、山药同用,方如缩泉丸。 【性味】辛,温。
【功能主治】顺气止痛,温肾散寒。用于胸腹胀痛,气逆喘急,膀胱虚冷,遗尿尿频,疝气,痛经。
【生境与分布】生于阳光充足、土壤肥沃的山坡灌木丛中或草丛等处。分布于湖北、湖南、江西、浙江、安徽、福建、江苏、广东、台湾等地。
【植物形态】常绿灌木或小乔木,高5 米。树皮灰绿色;叶互生,革质,椭圆形、卵形或近圆形,长3~7.5 厘米,宽1.5~4 厘米;叶柄长5~10 毫米。雌雄异株;伞形花序腋生;花被片6,淡绿色。果实椭圆形,长9 毫米,直径6 毫米,熟时黑色。花期3~4 月;果期10~11月。

图1为乌药 到目前为止,从乌药植物分离出的倍半萜类化合物有37种,得到的黄酮类25 种,生物碱有14种,单宁类化合物13种,甾体2种,其他类形化合物各3种。主要成分为直链脂肪酸,单萜及呋喃倍半萜烯类化合物。
1.乌药碱(Coclaurine):分子式C17H19NO3,分子量285。片状结晶,mp.220℃~221℃(dl- 体)。

图2为结构式 1.对消化系统的影响
乌药提取物可通过作用迷走神经,使麻醉犬在位肠肌蠕动加速,收缩加强。乌药煎剂能使胃电图幅值、频率明显增高,并能增加消化液的分泌。
2.止血作用
乌药提取物能明显缩短家兔血浆再钙化时间,促进血凝。对兔、羊、犬股动脉部分切开及部分脾切除所致出血有良好的止血作用。
3.保肝作用
乌药正己烷提取物可预防四氯化碳引起的血清谷草转氨酶(GOT)和谷丙转氨酶 (GPT) 的升高。钓樟烯对四氯化碳所致血清转氨酶活性升高有抑制作用,可有效地抑制乙硫氨酸对血清转氨酶活性的增加及血清GOT水平的升高。并可保护肝脏免受脂肪浸润。
4.抗菌作用
乌药提取物对金黄色葡萄球菌、甲型溶血性链球菌、伤寒杆菌、变形杆菌、绿脓杆菌、大肠杆菌等均有抑制作用。鲜乌药叶煎剂对金黄色葡萄球菌、炭疽杆菌、乙型溶血性链球菌、白喉杆菌、大肠杆菌、绿脓杆菌、痢疾杆菌等也有抑制作用。
5.对心血管系统作用
给予去甲乌药碱10-8g/mL时即能加强蟾蜍离体心脏的收缩力。麻醉犬由静脉滴注1~4μg/kg,可使血压下降,心率加快,冠脉血流量明显增加,血管阻力降低。乌药挥发油口服有兴奋心肌、加速血液循环、升高血压作用。
6.对中枢神经系统的作用
乌药作为一种抗氧化剂, 可用来预防颅脑受伤后的癫痫发作;乌药提取物中的某些成分可通过竞争性或非竞争性抑制脯酰氨内酞酶(PEP), 下调对含有脯酰氨的脑肽如升压素、P 物质和促甲状腺素释放激素(TRH)的水解, 从而改善学习和记忆过程。
7.抗微生物作用
乌药的水和醇提取物对单纯疱疹病毒也有明显的抑制作用。乌药水煎液对呼吸道合胞病毒、柯萨奇病毒B1 、B3、B4 组有明显的抑制作用, 抑制指数均为4 个对数, 属高效抗病毒药物。
8.镇痛、抗炎作用
乌药的水、醇提取物均有明显的镇痛、抗炎活性。乌药LEF(抗炎活性组分)组分是乌药的活性组分, 研究表明:构成该组分的化学成分主要为缩合鞣质类成分, 该组分能有效地抑制继发性肿胀、风寒湿痹证肿胀以及炎性组织中前列腺素E2 (PGE2)的生成, 显示乌药有良好的抗风湿应用前景。
9.其他作用
乌药提取物可诱导小鼠产生细胞生长抑制因子, 抑制肿瘤生长, 延长患肺癌小鼠的生存期, 而对正常细胞不显示任何毒性, 疗效与剂量正相关。乌药还具有抗凝血酶作用。乌药还可清除氧自由基和开放线粒体ATP(三磷酸腺苷)通道从而保护缺血后心肌。

图3为乌药中乌药碱的提取分离 性状鉴别
乌药个多呈纺锤状,略弯曲,有的中部收缩成连珠状,长6~15cm,直径1~3cm。表面黄棕色或黄褐色,有细纵皱纹及稀疏的细根痕,并横生环状裂纹。质坚硬,不易折断。乌药片为圆片或斜圆片,厚0.5~2mm,切面黄白色至淡黄棕色而略显微红,微显粉性,有放射状纹理及年轮,中心颜色较深,平滑而有弹性。气香,味微苦、辛,有清凉感。 以片圆、厚薄均匀、色黄白或微红、气香、有粉性者为佳。质老、不呈纺锤状的直根,不可供药用。
显微鉴别
横切面: 木栓层为3~6列木栓细胞。皮层薄壁细胞4~5列。韧皮部纤维常单个散在。形成层成环。木质部宽广,导管稀少,单列呈断续放射状排列,木射线宽1~2列细胞,不甚明显。皮层、韧皮部散有椭圆形油细胞,内含黄色油滴,木质部油细胞少见。
紫外光谱鉴别
取样品粉末0.1g,加乙醇30ml,浸提24h,滤过,滤渣用乙醇5ml冲洗2次,合并滤液定容至50ml,吸取滤液2ml于10ml量瓶中,加乙醇至刻度,于岛津 UV 265FW型紫外可见分光光度计上,在200~ 400nm波长范围内测定其紫外光谱。结果块根在 205.2nm波长处有最大的吸收峰,其A值为0.268,茎在204.8nm波长处有最大吸收峰,其A值为0.170,直根在204.4nm处有最大吸收峰,其A值为0.240 。

图4为乌药的紫外光谱图
1.块根 2.直根 3.茎 1.用于胸胁满闷,脘腹胀痛,头痛,以寒凝气滞者尤为适宜。如胸腹胁肋闷痛,多配香附、甘草同用,方如小乌沉汤;治脘腹胀痛,可配木香、青皮、莪术等同用;如治胸膈满闷,上气喘急,常与沉香同用,方如四磨汤;若治脘腹痞满,大便秘结,喘逆,加用大黄、枳壳,方如六磨汤、六磨饮子;治痢疾腹痛后重,常与黄连、白头翁等药配用。
2.用于寒凝气滞所致的寒疝疼痛,经行腹痛及产后腹痛。若寒疝少腹痛引睾丸,常与小茴香、肉桂等同用,方如暖肝煎;再加川楝子同用,则为天台乌药散。治寒凝气滞,血行不畅之经行腹痛,经水不调,常与当归同用,方如乌药散;如治产后恶露不绝,少腹冷痛,常与炮姜、当归、川芎同用。
3.用于下元虚寒、气化无权之尿频、遗尿或小便不通。常与益智仁、山药同用,方如缩泉丸。 【性味】辛,温。
【功能主治】顺气止痛,温肾散寒。用于胸腹胀痛,气逆喘急,膀胱虚冷,遗尿尿频,疝气,痛经。
乌药提取物供应商 更多
上海源叶生物科技有限公司
联系电话:021-61312847; 18021002903
产品介绍:
中文名称:乌药
英文名称:LINDERAE RADIX
纯度:对照药材
包装信息:1g
备注:B26109
陕西新天域生物科技有限公司
联系电话:17749282610; 17749282610
产品介绍:
中文名称:乌药提取物/
英文名称:Linderae Radix。
纯度:10:1
备注:50kg
陕西新阳禾生物科技有限公司
联系电话: 18391023245
产品介绍:
中文名称:乌药提取物
英文名称:Lindera root extract
纯度:10:1
包装信息:1kg/RMB 80;25kg/RMB 70
西安金萃坊植物技术开发有限公司
联系电话: 13679125026
产品介绍:
中文名称:乌药提取物
英文名称:Lindera aggregata (Sims) Kosterm
包装信息:1kg/RMB 95;25kg/RMB 93
陕西新阳禾生物科技有限公司
联系电话: 18391400117
产品介绍:
中文名称:乌药提取物
英文名称:Extract of Ligusticum chuanxiong Hort
纯度:10:1
备注:资质齐全,工厂直销,可商检 1千克/RMB 80;25千克/RMB 70