夏天无提取物 用途与合成方法
夏天无提取物为罂粟科植物伏生紫堇Corydalis decumbens (Thunb.) Pers. 的干燥块茎提取物,主要含有生物碱类成分。具有扩张血管、直接松弛平滑肌、抗血小板聚集、抗炎等药理活性。目前已开发出的夏天无制剂很多,其中,夏天无片、复方夏天无片、夏天无滴眼液和夏天无注射液已被列入中药成方制剂保护品种。本信息是由Chemicalbook的侍艳编辑整理。 为罂粟科植物伏生紫堇Corydalis decumbens (Thunb.) Pers. 的干燥块茎。又名夏无踪、伏地延胡索、无柄紫堇等。
【生境分布】 生于草地、丘陵或低山山坡。分布于湖南、浙江、江苏、安徽、江西、福建、台湾等省。
【植物形态】多年生草本,高16~30cm。块茎类球形,直径 0.6~1.6cm,表面黑色,生有须根。茎细弱,不分枝,单生或簇生。基生叶具长柄,2~5片;叶片下面有白粉,轮廓三角形,长约6cm,二回三出全裂或深浅不等的分裂,末回裂片具短柄,倒披针形或狭倒卵形;茎生叶互生,2~3片,具短柄或无柄,一至二回三出分裂。总状花序顶生,长1.7~4cm,花排列稀疏;下部花梗长达1.2cm;苞片卵形或狭倒卵形,长5~7mm,全缘,顶端尖,基部楔形;花萼细小,不明显;花瓣淡紫红色,上面花瓣长1.4~1.7cm,瓣片近圆形,顶端微凹,边缘波状,距圆筒状,长6~8mm,直或稍向上弯曲;雄蕊6,花丝连合成两束;柱头2裂成平展的“一”字形。蒴果长圆状椭圆形。花期4~5月,果期5~6月。

图1为夏天无 夏天无主要含生物碱类成分,总生物碱含量为1.71%-2.88%。迄今为止已从夏天无中分离到30多种生物碱,多属于苄基异喹啉类,包括四氢巴马汀(tetrahydropalmatine)、斯阔任碱((-)-scoulerine)、紫堇碱((+)-corydaline)、紫堇尔明((+)-kikemanine)、四氢药根碱(R-(+)-corypalmine)、药根碱(jatrorrhizine)、小糪碱(berberin)、巴马汀(palmatine)、二氢巴马汀(dihydropalmatine)、普鲁托品( protopine)、α- 别隐品碱(allocryptopine)、隐品碱(cryptopine)、隐品巴马汀(muramine)、毕枯枯灵(bicuculline)、咖若定((-)-capnoidine)、紫堇明定((+)-corlumidine)、夏无碱(decumbenine)、(+)-humosine A、苏元胡碱A((-)-humosine A)、夏无宁碱((+)-egenine)、(-)-corydecumbine、epi-α-decumbensine、decumbensine、蝙蝠葛碱(menisperine)、球紫堇碱((+)-bulbocapnine)、白毛茛宁碱、3,4-去氢白毛茛宁碱、bitetrahydro-isoquinoline、isoquinoliniumA、isoquinoliniumB、decumbenine B、decumbenine C、二氢血根碱(dehydrosanguinarine)和罂粟碱(papaverine)。
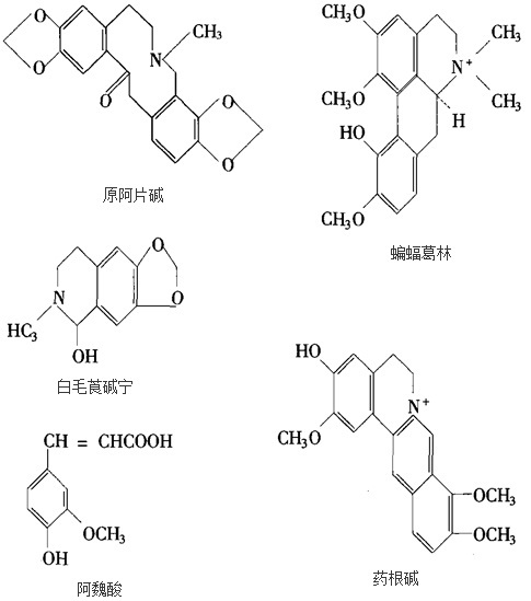
1.原阿片碱(Protopine):异名前鸦片碱。分子式C20H19NO5,分子量353.36。透明棱晶,mp. 206℃~207℃。溶于15份氯仿,900份乙醇和1000份乙醚,略溶于乙酸乙酯,二硫化碳,苯和石油醚,几乎不溶于水。
2.白毛莨碱宁(Hydrastinine):异名白毛莨宁,北美黄连次碱。分子式C11H13NO3,分子量 207.22。针状结晶(石油醚),mp.117℃。易溶于乙醇、氯仿、乙醚和稀酸,几乎不溶于冷水,尚溶于热水。
3.二氢巴马亭(Dihydropalmatine):分子式C21H23NO4,分子量353。黄色颗粒状结晶,mp. 200℃~201℃。
4.蝙蝠葛林(Menisperine):异名蝙蝠葛碱,蝙蝠葛任。分子式[C21H26NO4]+,分子量 356.43。白色片状结晶(MeOH),mp.233℃。[α]D18+155.6(c=0.106,CHCl3)。
5.阿魏酸(Ferulic acid):分子式C10H10O4,分子量194.18。无色片状结晶(MeOH),mp. 177℃~178℃。
6.药根碱(Jatrorrhizine):异名非洲防已碱,古伦朴根碱,药托根茎素,Jateorrhizine,Yatrorizine,Neprotin。分子式[C20H20NO4]+,分子量338.39。碘化物C20H20INO4,为红黄色针状结晶, mp.208℃~210℃。溶于水和乙醇。氯化物C20H20ClNO4,橙色针状结晶(甲醇-氯仿),mp. 198℃~200℃(分解)。硝酸盐,黄棕色针状结晶(乙醇),mp.228℃~229℃(分解)。

图2为结构式 1.抗心律失常作用
夏天无提取物总生物碱给麻醉猫2mg/kg,静注在心脏的稳定期、缺血期、复灌各期均具有显著的减慢心率,降低动脉血压的作用。而对各期左心室内压和心室内压力变化速率(dp/dt)数值虽表现出减低性影响,但作用无明显性意义。实验结果显示夏天无总生物碱具有明显的抗心率失常作用,显著减低缺血期和复灌期心律失常的发生率及严重程度,减少心肌在缺血和复灌期发生室颤的危险性。对心肌这一保护作用的机理可能与它能明显延长心肌细胞不应期并能抑制心肌异常自律性,因而可能阻断兴奋折返途径有关。又报道,夏天无总生物碱10mg/L能明显延长功能性不应期,抑制肾上腺素诱发的自律性;但不降低兴奋性,对收缩性也无明显影响。提示夏天无总生物碱可能具有抗心律失常的作用。有研究证明,夏天无生物碱对氯仿诱发的小鼠室颤、肾上腺素所致的家兔心律失常、氯化钙引起的大鼠室颤和乌头碱导致的大鼠心律失常均有明显的预防或治疗作用,这些作用可能与减少交感神经冲动的发放或阻断心脏β1受体有关。
2.降低血压的作用
夏天无提取物0.5~1.0g/kg对麻醉猫有明显而持久的降血压作用。其总生物碱对血管的平滑肌有直接扩张作用,麻醉犬静脉注射后血压下降,股动脉、冠状动脉和颈内动脉血流增加,血管阻力降低。
3.对肠管及血管的作用
夏天无提取物对离体小鼠肠管呈抑制作用。小剂量有类阿托品样作用,大剂量表现罂粟碱样的作用。本品所含空褐鳞碱对动物所产生强直性昏厥样现象,可扩张血管,消除血管收缩性反射,对肾上腺素、乙酰胆碱有对抗作用。
4.镇静、镇痛作用
夏天无提取物所含延胡索乙素对大脑皮层及皮层下的电活动都能抑制,尤以皮层运动区较为敏感,较大剂量能抑制防御性条件反射,能使动物活动减少,与巴比妥类药物有协同作用,能对抗苯丙胺及墨西卡林的兴奋作用,故可用于因疼痛而失眠的病人,有较好的镇静和安定的作用。夏天无提取物有镇痛作用,其主要有效成分是所含的延胡索乙素,其镇痛作用机理是抑制了网状上行激活系统,并抑制了脑内多巴胺系统。
5.解痉作用
夏天无提取物对肠平滑肌、豚鼠的支气管有解痉的作用。
6.其他作用
夏天无提取物还能兴奋豚鼠、家兔的子宫,对血凝无影响。延胡索乙素60mg/kg给家兔静脉注射,则产生呼吸抑制,并具有抗5-羟色胺作用。
图3为蝙蝠葛林、阿魏酸等6个化合物提取分离 性状鉴别
块茎呈类球形、长圆形或不规则块状,长0.3~2.8cm,直径0.3~2cm。表面灰黄色、暗绿色或黑褐色,有瘤状突起和不明显的细皱纹,顶端钝圆,可见茎痕,四周有淡黄色点状叶痕及须根痕。质硬,断面黄白色或黄绿色,颗粒状或角质样,有的略带粉性。气无,味极苦。以个大,质硬,断面色黄白者为佳。
显微鉴别
块茎横切面 皮层为三至数层淡黄色扁平细胞,常具壁孔。维管束外韧型。韧皮部宽广。木质部导管细小,由数个至十余个组成4~7束,呈放射状排列。中央有髓。商品薄壁细胞中含众多糊化淀粉粒团块。
理化鉴别
取粗粉4g,加1%碳酸钠溶液25ml,置近沸的水浴中浸渍5min,滤过,滤液用稀盐酸调节pH值至6,加氯仿15ml振摇提取。分取氯仿液2ml,加硫酸1ml,振摇,硫酸层即显棕红色,放置后显棕黑色。 夏天无注射液中毒时的主要症状表现为:阵挛性惊厥,甚至强直性惊厥。其注射液对小鼠皮下和静脉注射的LD50分别为 (24.04±0.92) g/kg、(7.63±0.33) g/kg。 性味 苦、微辛,温。
功能主治 行气活血,通络止痛。用于高血压偏瘫,小儿麻痹后遗症,坐骨神经痛,风湿性关节炎,跌扑损伤。
【生境分布】 生于草地、丘陵或低山山坡。分布于湖南、浙江、江苏、安徽、江西、福建、台湾等省。
【植物形态】多年生草本,高16~30cm。块茎类球形,直径 0.6~1.6cm,表面黑色,生有须根。茎细弱,不分枝,单生或簇生。基生叶具长柄,2~5片;叶片下面有白粉,轮廓三角形,长约6cm,二回三出全裂或深浅不等的分裂,末回裂片具短柄,倒披针形或狭倒卵形;茎生叶互生,2~3片,具短柄或无柄,一至二回三出分裂。总状花序顶生,长1.7~4cm,花排列稀疏;下部花梗长达1.2cm;苞片卵形或狭倒卵形,长5~7mm,全缘,顶端尖,基部楔形;花萼细小,不明显;花瓣淡紫红色,上面花瓣长1.4~1.7cm,瓣片近圆形,顶端微凹,边缘波状,距圆筒状,长6~8mm,直或稍向上弯曲;雄蕊6,花丝连合成两束;柱头2裂成平展的“一”字形。蒴果长圆状椭圆形。花期4~5月,果期5~6月。

图1为夏天无 夏天无主要含生物碱类成分,总生物碱含量为1.71%-2.88%。迄今为止已从夏天无中分离到30多种生物碱,多属于苄基异喹啉类,包括四氢巴马汀(tetrahydropalmatine)、斯阔任碱((-)-scoulerine)、紫堇碱((+)-corydaline)、紫堇尔明((+)-kikemanine)、四氢药根碱(R-(+)-corypalmine)、药根碱(jatrorrhizine)、小糪碱(berberin)、巴马汀(palmatine)、二氢巴马汀(dihydropalmatine)、普鲁托品( protopine)、α- 别隐品碱(allocryptopine)、隐品碱(cryptopine)、隐品巴马汀(muramine)、毕枯枯灵(bicuculline)、咖若定((-)-capnoidine)、紫堇明定((+)-corlumidine)、夏无碱(decumbenine)、(+)-humosine A、苏元胡碱A((-)-humosine A)、夏无宁碱((+)-egenine)、(-)-corydecumbine、epi-α-decumbensine、decumbensine、蝙蝠葛碱(menisperine)、球紫堇碱((+)-bulbocapnine)、白毛茛宁碱、3,4-去氢白毛茛宁碱、bitetrahydro-isoquinoline、isoquinoliniumA、isoquinoliniumB、decumbenine B、decumbenine C、二氢血根碱(dehydrosanguinarine)和罂粟碱(papaverine)。
1.原阿片碱(Protopine):异名前鸦片碱。分子式C20H19NO5,分子量353.36。透明棱晶,mp. 206℃~207℃。溶于15份氯仿,900份乙醇和1000份乙醚,略溶于乙酸乙酯,二硫化碳,苯和石油醚,几乎不溶于水。
2.白毛莨碱宁(Hydrastinine):异名白毛莨宁,北美黄连次碱。分子式C11H13NO3,分子量 207.22。针状结晶(石油醚),mp.117℃。易溶于乙醇、氯仿、乙醚和稀酸,几乎不溶于冷水,尚溶于热水。
3.二氢巴马亭(Dihydropalmatine):分子式C21H23NO4,分子量353。黄色颗粒状结晶,mp. 200℃~201℃。
4.蝙蝠葛林(Menisperine):异名蝙蝠葛碱,蝙蝠葛任。分子式[C21H26NO4]+,分子量 356.43。白色片状结晶(MeOH),mp.233℃。[α]D18+155.6(c=0.106,CHCl3)。
5.阿魏酸(Ferulic acid):分子式C10H10O4,分子量194.18。无色片状结晶(MeOH),mp. 177℃~178℃。
6.药根碱(Jatrorrhizine):异名非洲防已碱,古伦朴根碱,药托根茎素,Jateorrhizine,Yatrorizine,Neprotin。分子式[C20H20NO4]+,分子量338.39。碘化物C20H20INO4,为红黄色针状结晶, mp.208℃~210℃。溶于水和乙醇。氯化物C20H20ClNO4,橙色针状结晶(甲醇-氯仿),mp. 198℃~200℃(分解)。硝酸盐,黄棕色针状结晶(乙醇),mp.228℃~229℃(分解)。

图2为结构式 1.抗心律失常作用
夏天无提取物总生物碱给麻醉猫2mg/kg,静注在心脏的稳定期、缺血期、复灌各期均具有显著的减慢心率,降低动脉血压的作用。而对各期左心室内压和心室内压力变化速率(dp/dt)数值虽表现出减低性影响,但作用无明显性意义。实验结果显示夏天无总生物碱具有明显的抗心率失常作用,显著减低缺血期和复灌期心律失常的发生率及严重程度,减少心肌在缺血和复灌期发生室颤的危险性。对心肌这一保护作用的机理可能与它能明显延长心肌细胞不应期并能抑制心肌异常自律性,因而可能阻断兴奋折返途径有关。又报道,夏天无总生物碱10mg/L能明显延长功能性不应期,抑制肾上腺素诱发的自律性;但不降低兴奋性,对收缩性也无明显影响。提示夏天无总生物碱可能具有抗心律失常的作用。有研究证明,夏天无生物碱对氯仿诱发的小鼠室颤、肾上腺素所致的家兔心律失常、氯化钙引起的大鼠室颤和乌头碱导致的大鼠心律失常均有明显的预防或治疗作用,这些作用可能与减少交感神经冲动的发放或阻断心脏β1受体有关。
2.降低血压的作用
夏天无提取物0.5~1.0g/kg对麻醉猫有明显而持久的降血压作用。其总生物碱对血管的平滑肌有直接扩张作用,麻醉犬静脉注射后血压下降,股动脉、冠状动脉和颈内动脉血流增加,血管阻力降低。
3.对肠管及血管的作用
夏天无提取物对离体小鼠肠管呈抑制作用。小剂量有类阿托品样作用,大剂量表现罂粟碱样的作用。本品所含空褐鳞碱对动物所产生强直性昏厥样现象,可扩张血管,消除血管收缩性反射,对肾上腺素、乙酰胆碱有对抗作用。
4.镇静、镇痛作用
夏天无提取物所含延胡索乙素对大脑皮层及皮层下的电活动都能抑制,尤以皮层运动区较为敏感,较大剂量能抑制防御性条件反射,能使动物活动减少,与巴比妥类药物有协同作用,能对抗苯丙胺及墨西卡林的兴奋作用,故可用于因疼痛而失眠的病人,有较好的镇静和安定的作用。夏天无提取物有镇痛作用,其主要有效成分是所含的延胡索乙素,其镇痛作用机理是抑制了网状上行激活系统,并抑制了脑内多巴胺系统。
5.解痉作用
夏天无提取物对肠平滑肌、豚鼠的支气管有解痉的作用。
6.其他作用
夏天无提取物还能兴奋豚鼠、家兔的子宫,对血凝无影响。延胡索乙素60mg/kg给家兔静脉注射,则产生呼吸抑制,并具有抗5-羟色胺作用。

图3为蝙蝠葛林、阿魏酸等6个化合物提取分离 性状鉴别
块茎呈类球形、长圆形或不规则块状,长0.3~2.8cm,直径0.3~2cm。表面灰黄色、暗绿色或黑褐色,有瘤状突起和不明显的细皱纹,顶端钝圆,可见茎痕,四周有淡黄色点状叶痕及须根痕。质硬,断面黄白色或黄绿色,颗粒状或角质样,有的略带粉性。气无,味极苦。以个大,质硬,断面色黄白者为佳。
显微鉴别
块茎横切面 皮层为三至数层淡黄色扁平细胞,常具壁孔。维管束外韧型。韧皮部宽广。木质部导管细小,由数个至十余个组成4~7束,呈放射状排列。中央有髓。商品薄壁细胞中含众多糊化淀粉粒团块。
理化鉴别
取粗粉4g,加1%碳酸钠溶液25ml,置近沸的水浴中浸渍5min,滤过,滤液用稀盐酸调节pH值至6,加氯仿15ml振摇提取。分取氯仿液2ml,加硫酸1ml,振摇,硫酸层即显棕红色,放置后显棕黑色。 夏天无注射液中毒时的主要症状表现为:阵挛性惊厥,甚至强直性惊厥。其注射液对小鼠皮下和静脉注射的LD50分别为 (24.04±0.92) g/kg、(7.63±0.33) g/kg。 性味 苦、微辛,温。
功能主治 行气活血,通络止痛。用于高血压偏瘫,小儿麻痹后遗症,坐骨神经痛,风湿性关节炎,跌扑损伤。
夏天无提取物供应商 更多
陕西新天域生物科技有限公司
联系电话:17749282610; 17749282610
产品介绍:
中文名称:夏天无提取物
英文名称:Corydalis Decumbentis Rhizom P.E
纯度:10:1
包装信息:25gk/
备注:优
陕西新阳禾生物科技有限公司
联系电话: 18391023245
产品介绍:
中文名称:夏天无提取物
英文名称:Corydalis decumbentis extract
纯度:10:1
包装信息:1kg/85;25kg/
备注:厂家直供
扶风斯诺特生物科技有限公司
联系电话: 18165382253
产品介绍:
中文名称:夏天无提取物
英文名称:Corydalis decumbentis extract
纯度:10:1
包装信息:25KG;1KG
夏天无提取物新闻专题 更多
2019-12-16
夏天无提取物的药理作用