喹氧灵
中文名称:喹氧灵
英文名称:QUINOXYFEN
CAS号:124495-18-7
分子式:C15H8Cl2FNO
分子量:308.13
EINECS号:602-997-3
Mol文件:124495-18-7.mol
喹氧灵 性质
| 熔点 | 105-106° |
|---|---|
| 沸点 | 423℃ |
| 密度 | 1.430 |
| 蒸气压 | 1.2 x 10-5 Pa (20 °C) |
| 闪点 | >100 °C |
| 储存条件 | 0-6°C |
| 溶解度 | 可溶于氯仿(少许)、甲醇(少许) |
| 形态 | 固体 |
| 水溶解性 | 0.12 mg l-1 (20 °C) |
| 酸度系数(pKa) | 2.87±0.50(Predicted) |
| 颜色 | 白色至浅黄色至浅橙色 |
| Merck | 14,8079 |
| 主要应用 | agriculture environmental |
| InChI | 1S/C15H8Cl2FNO/c16-9-7-12(17)15-13(8-9)19-6-5-14(15)20-11-3-1-10(18)2-4-11/h1-8H |
| InChIKey | WRPIRSINYZBGPK-UHFFFAOYSA-N |
| SMILES | Fc1ccc(Oc2ccnc3cc(Cl)cc(Cl)c23)cc1 |
| LogP | 5.1 at 20℃ |
| 解离常数 | 3.56 |
| EPA化学物质信息 | Quinoxyfen (124495-18-7) |
喹氧灵 用途与合成方法
喹氧灵(quinoxyfen)亦称快诺芬,是美国陶氏益农公司近年来新推出的一种喹啉类杀真菌剂,属苯氧基喹啉类杀菌剂。这种能起保护作用的杀真菌剂,包括有悬浮液与乳液的单成分制剂与混配剂,被广泛应用于樱桃、葡萄、莴苣等蔬菜水果作物。该杀菌剂于1997年首次批准在欧洲使用。国外前期研究表明,此杀菌剂对白粉菌的防治有很好的效果,但目前在欧洲已发现抗性菌株,而我国现在还未在生产上使用。
沸点:423ºC
折射率:1.648
蒸汽压:5.62E-07mmHg at 25°C 危险品运输编码:UN3077 9/PG 3
危险类别码:R43
安全说明:S24
危险品标志:Xi; N 作为一种杀菌剂,主要用于白粉病害的防治。
[2]杨鹏, 张荣, 段霞瑜,等. 2008年我国主要麦区白粉菌群体对三唑酮和喹氧灵的敏感性监测[J]. 植物病理学报, 2010, 40(4):404-410.
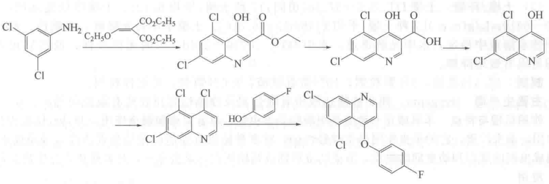
以3,5-二氯苯胺和对氟苯酚为原料,经如下反应即得目的物苯氧喹啉(喹氧灵):
沸点:423ºC
折射率:1.648
蒸汽压:5.62E-07mmHg at 25°C 危险品运输编码:UN3077 9/PG 3
危险类别码:R43
安全说明:S24
危险品标志:Xi; N 作为一种杀菌剂,主要用于白粉病害的防治。
大鼠急性经口 LD50>5000mg/kg,兔急性经皮 LD50>2000mg/kg,大鼠急性吸入LC50(4h)3.38mg/L。对兔眼睛有中度刺激,对兔皮肤无刺激。对豚鼠皮肤是否致敏取决于试验情况。狗饲喂52周、大鼠致癌饲喂2y、大鼠繁殖无作用剂量均为20mg/(kg .d)。ADI(mg/kg):(JMPR)0.2[2006],(EC)0.2[2004]。无致突变、致畸或致癌作用。
山齿鹑急性经口LD50>2250mg/kg。山齿鹑和野鸭饲喂LC50 (8d)>5620mg/kg饲料。鱼毒LC50( 96h,mg/L):虹雠鱼0.27,大翻车鱼>0.28,鲤鱼0.41。水蚤EC50(48h)0.08mg/L。羊角月牙藻EbC50(72h)0.058mg/L。摇蚊 NOEC(28d)0.128mg/L(水溶液)。蜜蜂LD50(48h)>100ug/只(经口和接触)。蚯蚓LC50( 14d)>923mg/kg土。其他有益生物:在试验条件和农田研究条件下,对大部分非目标物和有益节肢动物低毒。
苯氧喹啉在植物、动物、土壤中的降解很慢。然而在酸性条件下的水解、水溶液中的光解以及在土壤/沉积物上的强烈吸附是主要的降解途径。苯氧喹啉及其代谢物不会渗到地下影响地下水。
它主要通过影响病菌生长的整个过程和病菌的侵染,如孢子的萌发、吸器和附着胞的形成等。2003年相关研究研究了喹啉类药物对大麦白粉菌的作用机理进行了研究,表明其作用机制为改变大麦白粉菌的蛋白激酶C的积累,并催化生成了蛋白激酶A亚基。 [1]杨方, 卢声宇, 陈祥明,等. 高效液相色谱法检测多种食品基体中残留的喹氧灵[J]. 色谱, 2008, 26(4):499-503.[2]杨鹏, 张荣, 段霞瑜,等. 2008年我国主要麦区白粉菌群体对三唑酮和喹氧灵的敏感性监测[J]. 植物病理学报, 2010, 40(4):404-410.
安全信息
| 危险品标志 | Xi,N |
|---|---|
| 危险类别码 | 43-50/53 |
| 安全说明 | 24-37-46-60-61 |
| 危险品运输编号 | UN3077 9/PG 3 |
| WGK Germany | 3 |
| RTECS号 | VB4287500 |
| 危险等级 | 9 |
| 包装类别 | III |
| 海关编码 | 38220090 |
| 存储类别 | 11 - 可燃固体 |
| 危险性类别 | 危害水生环境-急性危害 类别1 危害水生环境-长期危害 类别1 皮肤致敏物 类别1B |
| 毒害物质数据 | 124495-18-7(Hazardous Substances Data) |
| 毒性 | LD50 orally in rats: >5000 mg/kg; dermally in rabbits: >2000 mg/kg; by inhalation in rats: >3.38 mg/l (Longhurst) |
喹氧灵供应商 更多
北京百灵威科技有限公司
联系电话:18210857532; 18210857532
产品介绍:
中文名称:快诺芬
英文名称:Quinoxyfen, 98%
CAS:124495-18-7
纯度:98%
包装信息:100MG;500MG
备注:化学试剂、精细化学品、医药中间体、材料中间体
梯希爱(上海)化成工业发展有限公司
联系电话:021-67121386
产品介绍:
中文名称:喹氧灵
英文名称:Quinoxyfen
CAS:124495-18-7
纯度:98.0% GC
包装信息:200MG
备注:试剂级
上海泰坦科技股份有限公司
联系电话:400-6009262 16621234537
产品介绍:
中文名称:(5,7-二氯-4-喹啉基)-(4-氟苯基)醚
英文名称:Quinoxyfen
CAS:124495-18-7
纯度:98%+
包装信息:250mg;1g;5g;25g;100g
上海瀚鸿科技股份有限公司
联系电话:021-54306202 13764082696
产品介绍:
中文名称:喹氧灵
英文名称:QUINOXYFEN
CAS:124495-18-7
纯度:98%
备注:D72043