DEAE-Dextran, being a polycation, offers many applications, such as a component/adjuvant in vaccines, for transfection and gene therapy, cholesterol/weight modulation, a stabiliser of proteins, in drug delivery and as a flocculant.
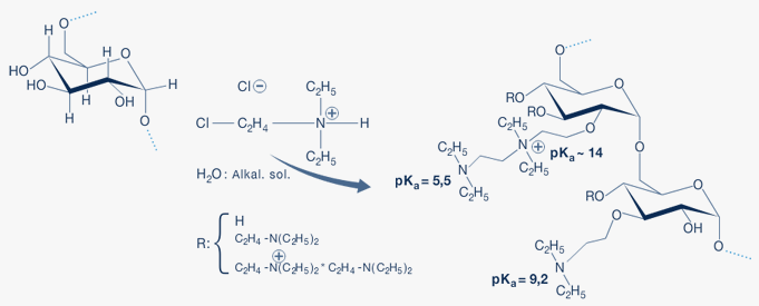
DEAE-Dextran is made by reaction of dextran with (2-chloroethyl) diethylammoniumchlorid in alkaline solution.

DEAE - Dextran contains three basic groups with different pKa values. There are two tertiary groups, one in the single substituted glucose unit having a pKa value of approximately 9.2 and the tertiary group in the tandem substitution having a pKa value of approximately 5.5. The quaternary amino group in the tandem substitution has a pKa value ~ 14.
Like the polyanions, the polycations also exhibit a wide range of interesting biological properties. In particular, DEAE-dextrans appear to enhance a number of cellular processes. Many reports (398-401) testify to the enhancement of cellular uptake of viral RNA and also intact virus particles. Considerable interest has been focussed on the enhanced production of interferon by polyribonucleotide complexes in the presence of DEAE-dextran (402–404). These processes appear to operate without detrimental effects on the viability of the cells (398). To what extent these effects are due to the interaction between the cell surface (net negative charge) and the polycation is uncertain. For most of these studies, a DEAE-dextran with MW approx. 500 000 and DS 0.5 has been used at concentrations from 10–500 µg/ml.
DEAE-Dextran 500 is a polycationic derivative of dextran, produced from dextran with an average molecular weight >500,000 Da. DEAE-Dextran 500 has a broad variety of applications including medicinal products, technical and chromatographic applications and as a polycationic stabilizing molecule.
DEAE-Dextran 500 is supplied in its HCI form.