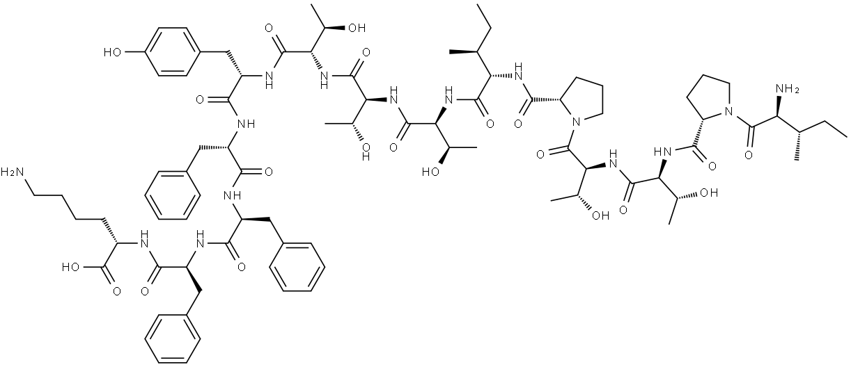
ERK2 Substrate
- Product NameERK2 Substrate
- CAS947688-38-2
- MFC84H121N15O21
- MW1676.95
- EINECS
- MOL File947688-38-2.mol
Chemical Properties
| Boiling point | 1867.721±65.00 °C(Press: 760.00 Torr)(predicted) |
| Density | 1.299±0.06 g/cm3(Temp: 25 °C; Press: 760 Torr)(predicted) |
| pka | 3.300±0.10(predicted) |
| Sequence | Ile-Pro-Thr-Thr-Pro-Ile-Thr-Thr-Thr-Tyr-Phe-Phe-Phe-Lys |