莲子心提取物 用途与合成方法
莲子心提取物以莲子Nelumnbo mucifera G. 幼叶及胚根为原材料, 商品提取物通常对总生物碱进行标化。
莲子心是一味常用中药,具清心降火、降血压和强心之功效。近年药理研究表明,莲子心中生物碱具有降压、抗心率失常等作用, 临床应用广阔,且我国莲子心资源丰富,很有开发价值。 本信息是由Chemicalbook的侍艳编辑整理。 为睡莲科植物莲Nelumbo nucifera Gaertn. 的成熟种子中的干燥幼叶及胚根。又名莲心、莲薏、苦薏、薏。全国各地均有分布。主产湖南(湘莲)、湖北、福建、江苏、浙江、江西。湖南产质佳, 福建产量最大。

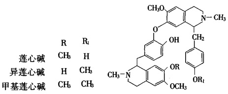
图1为莲子心 生物碱:莲心碱 (Liensinine)、异莲心碱 (Isoliensinine)、甲基莲心碱(Neferine)、荷叶碱 (Nuciferine)、前荷叶碱 (Pronuciferine)、牛角花素 (Lotusine)、莲碱(nelumbine)、莲心季胺碱(Lotusine)、甲基紫堇杷灵碱(Methylcorypalline)、去甲基乌药碱(Demethylcoclaurine) 等。
黄酮类:木犀草苷(Galuteolin)、金丝桃苷(Hyperin)、芸香苷(Rutin)等。
还含有锌、铜、铁、钙、镍、锰、镉等微量元素。

图2为生物碱化学结构式 1.降压作用
生物碱类成分有降压作用,莲心碱有短时的降压作用,转变成季胺盐后,降压作用明显增强,作用时间延长。甲基莲心碱在较大剂量6mg/kg静注后,对正常血压、醋酸去氧皮质酮(DOCA)盐型高血压和肾性高血压大鼠都有降压作用。在较小剂量2mg/kg时,也能明显降低大鼠血压。作用机理可能是通过抑制血管平滑肌依内钙收缩反应,从而扩张外周血管而产生持久地降压效果。
2.抗心律失常作用
甲基莲心碱、莲心碱、异莲心碱及莲心季胺碱都有抗心律失常作用。甲基莲心碱能抑制浦肯野纤维,使传导减慢,将浦肯野纤维的单相阻滞变为双相阻滞,消除了折返冲动引起的心律失常。莲心碱对心肌慢反应的动作电位及慢反应内电流有影响。
3.对血小板聚集的影响
甲基莲心碱为一非选择性的钙拮抗剂,能降低ET-1所致的平滑肌细胞、巨噬细胞内钙释放。
4.对血流动力学的影响
莲心总碱不同剂量对大鼠血流动力学的影响研究表明,给大鼠静脉注射莲心总碱后,动脉收缩压及舒张压、左室收缩压、左室压最大上升及下降速率迅速降低,随剂量由0.5、1.0至1.5mg加大,下降的幅度增加,持续时间延长。抗心肌缺血试验显示,莲心总碱可缩小心肌梗塞范围 (P<0.05)。实验还显示,莲心碱对血流动力学的影响较甲基莲心碱强。
5.对平滑肌的作用
莲子心的提取物去甲衡州乌药碱,具有显著的松弛平滑肌作用。
6.强心作用
实验证明,莲子心所含生物碱,有显著的强心作用。
7.抗氧化及清除活性自由基作用
实验证明,甲基莲心碱具有抗氧化自由基作用,能抑制肝细胞脂质过氧化及中性粒细胞受多形核白细胞刺激后释放的氧自由基。甲基莲心碱清除氧阴离子的效应虽小于SOD,但清除羟自由基的效应则比典型的羟自由基清除剂甘露醇强,说明是以清除为主,而对氧自由基产生过程影响小。其原理可能与甲基莲心碱分子结构上酚羟基易与氧自由基结合而具抗氧化效能有关。
8.抗心肌缺血作用
莲心总碱有抗心肌缺血作用。其作用机理可能是通过抗脂质过氧化及钙拮抗作用而实现的。甲基莲心碱即为一非选择性钙拮抗剂,而钙拮抗剂可扩张血管,减少心肌耗氧,增加心肌供氧,阻止过多Ca2+进入心肌产生抗心肌缺血作用。
9.毒副反应
实验测得莲心碱、甲基莲心碱注射液的半数致死量分别为34.9±5.5mg/kg和26±2.3mg/kg。中毒表现为全身肌无力、紫绀、眼球突出、进行性呼吸困难等。 取莲子心粗碎,加70%乙醇回流提取,分取提取液,减压回收乙醇至尽,真空干燥,粉碎过筛即得。

图3为莲子心的紫外光谱图 分光光度法测定莲子心中生物碱的含量
标准曲线的制备:精密称取莲心碱(恒重) 5.4mg置10ml棕色容量瓶内,以无水乙醇溶解并定容,精密吸取上述标准溶液0.0、0.4、0.5、0.6、0.7、0.8、0.9、1.0ml分别置10ml棕色容量瓶内,无水乙醇定容,紫外分光光度计在283nm处测定吸光度,以吸光度为纵坐标,莲心碱浓度(μg/ml)为横坐标绘制标准曲线。
供试品溶液的制备及样品的测定:精密称取提取物50mg,置50ml烧杯中,加3%枸椽酸10ml加热溶解,加活性炭少许,过滤,以3%枸椽酸洗涤滤渣,得滤液约20ml,以乙醚萃取两次,每次15ml,将上述乙醚萃取后水相用氨水碱化,调pH=9.0~10.0,以乙醚萃取生物碱,15ml/次,共7次,收集乙醚液于250ml干净烧瓶内,水浴回收乙醚至干,将上述烧瓶内残留物以无水乙醇热溶出并定容至50ml容量瓶中,用紫外分光光度计在283nm处测定上述溶液的吸光度,按下式计算。
莲心生物总碱(%)=5×C/W×100%
C:曲线上查得浓度(μg/ml);W:提取物称样量(mg)2.薄层扫描测定莲子心中莲子碱的含量
精密称取莲子心粗粉(40目)约1g,置具塞三角烧瓶内,以少许氨水润湿后,加入甲醇20ml,超声提取30分钟;离心,残渣同上提取一次;上清液合并,水浴蒸干,残渣以少量氯仿溶解并定容为5ml,即为供试品溶液。精密称取莲心碱对照品适量,加氯仿溶解,配制成浓度为0.5mg/ml的对照液。分取对照液和供试液5μl,点于同一硅胶板(取硅胶G5g,加0.3%CMC-Na溶液18ml调成糊状,涂布10cm×20cm玻璃板5块,晾干,105℃活化1小时)上,以氯仿-丙酮-二乙胺(6:4:1)上行展开18cm,紫外灯下观察荧光后,以碘化铋钾显色确认生物碱斑点。按下述条件扫描:λs=282nm,λR=330nm,狭缝1.25mm×1.25mm, 扫描速度20mm/min;反射法, 锯齿扫描。测量供试品吸收度和对照品吸收度积分值, 计算即得。 为睡莲科植物莲Nelumbo muciferaGaertn.的成熟种子中的干燥幼叶及胚根。
性状:本品略呈细棒状,长1~1.4cm,直径约0.2cm。幼叶绿色,一长一短,卷成箭形,先端向下反折,两幼叶间可见细小胚芽。胚根圆柱形,长约3mm,黄白色。质脆,易折断,断面有数个小孔。气微,味苦。
鉴别:(1) 本品粉末灰绿色。表皮细胞略呈长方形,壁薄。叶肉细胞壁薄,类圆形,细胞内含众多淀粉粒与绿色色素。胚根细胞呈长方形,排列整齐,壁菲薄,有的含脂肪油滴。幼叶组织中细胞间隙较大。(2) 取本品粉末2g,加氯仿15ml,加热回流15分钟,滤过,滤液置水浴上蒸发去氯仿,残渣加稀盐酸2ml使溶解,滤过,取滤液1ml,加碘化铋钾试液1~2滴,生成橙红色沉淀。
水分:不得过12.0%。
含量测定:本品以干燥品计,含莲心碱不得低于0.2%。 紫外光谱鉴别:取样品粗粉0.1g,2份,分别置50ml碘量瓶中,各加石油醚(60~90℃)、乙醇20ml,室温浸泡2h,振摇,滤过,石油醚滤液与稀释 10倍后乙醇溶液,用岛津UV-265FW型紫外分光光度计测定其紫外光谱。测试条件:波长范围200~400nm,吸收度量程0~3A,狭缝1nm,扫描速度200nm/min,尺度扩张 40nm/cm。结果莲子心λmaxPet为266.2(sh)、 210.2nm;λmaxEtOH为350.6、273.0、205.4nm, λminEtOH为249.8nm。
图4为莲子心的紫外光谱图
1.石油醚提取液 2.乙醇提取液 传统医学认为莲子心苦寒,清心安神,交通心肾,涩精止血。用于热入心包,神昏谵语,心肾不交,失眠遗精,血热吐血。现代研究表明莲子心及其提取物有广泛的生物活性,可用于治疗高血压、心律失常、心肌缺血等。 国内涉及莲子心或其提取物的专利达17项,包括保健茶、保健酒、饮料等多种产品形态。莲心制成药品如莲心碱注射液、复方莲心液等。
莲子心是一味常用中药,具清心降火、降血压和强心之功效。近年药理研究表明,莲子心中生物碱具有降压、抗心率失常等作用, 临床应用广阔,且我国莲子心资源丰富,很有开发价值。 本信息是由Chemicalbook的侍艳编辑整理。 为睡莲科植物莲Nelumbo nucifera Gaertn. 的成熟种子中的干燥幼叶及胚根。又名莲心、莲薏、苦薏、薏。全国各地均有分布。主产湖南(湘莲)、湖北、福建、江苏、浙江、江西。湖南产质佳, 福建产量最大。

图1为莲子心 生物碱:莲心碱 (Liensinine)、异莲心碱 (Isoliensinine)、甲基莲心碱(Neferine)、荷叶碱 (Nuciferine)、前荷叶碱 (Pronuciferine)、牛角花素 (Lotusine)、莲碱(nelumbine)、莲心季胺碱(Lotusine)、甲基紫堇杷灵碱(Methylcorypalline)、去甲基乌药碱(Demethylcoclaurine) 等。
黄酮类:木犀草苷(Galuteolin)、金丝桃苷(Hyperin)、芸香苷(Rutin)等。
还含有锌、铜、铁、钙、镍、锰、镉等微量元素。

图2为生物碱化学结构式 1.降压作用
生物碱类成分有降压作用,莲心碱有短时的降压作用,转变成季胺盐后,降压作用明显增强,作用时间延长。甲基莲心碱在较大剂量6mg/kg静注后,对正常血压、醋酸去氧皮质酮(DOCA)盐型高血压和肾性高血压大鼠都有降压作用。在较小剂量2mg/kg时,也能明显降低大鼠血压。作用机理可能是通过抑制血管平滑肌依内钙收缩反应,从而扩张外周血管而产生持久地降压效果。
2.抗心律失常作用
甲基莲心碱、莲心碱、异莲心碱及莲心季胺碱都有抗心律失常作用。甲基莲心碱能抑制浦肯野纤维,使传导减慢,将浦肯野纤维的单相阻滞变为双相阻滞,消除了折返冲动引起的心律失常。莲心碱对心肌慢反应的动作电位及慢反应内电流有影响。
3.对血小板聚集的影响
甲基莲心碱为一非选择性的钙拮抗剂,能降低ET-1所致的平滑肌细胞、巨噬细胞内钙释放。
4.对血流动力学的影响
莲心总碱不同剂量对大鼠血流动力学的影响研究表明,给大鼠静脉注射莲心总碱后,动脉收缩压及舒张压、左室收缩压、左室压最大上升及下降速率迅速降低,随剂量由0.5、1.0至1.5mg加大,下降的幅度增加,持续时间延长。抗心肌缺血试验显示,莲心总碱可缩小心肌梗塞范围 (P<0.05)。实验还显示,莲心碱对血流动力学的影响较甲基莲心碱强。
5.对平滑肌的作用
莲子心的提取物去甲衡州乌药碱,具有显著的松弛平滑肌作用。
6.强心作用
实验证明,莲子心所含生物碱,有显著的强心作用。
7.抗氧化及清除活性自由基作用
实验证明,甲基莲心碱具有抗氧化自由基作用,能抑制肝细胞脂质过氧化及中性粒细胞受多形核白细胞刺激后释放的氧自由基。甲基莲心碱清除氧阴离子的效应虽小于SOD,但清除羟自由基的效应则比典型的羟自由基清除剂甘露醇强,说明是以清除为主,而对氧自由基产生过程影响小。其原理可能与甲基莲心碱分子结构上酚羟基易与氧自由基结合而具抗氧化效能有关。
8.抗心肌缺血作用
莲心总碱有抗心肌缺血作用。其作用机理可能是通过抗脂质过氧化及钙拮抗作用而实现的。甲基莲心碱即为一非选择性钙拮抗剂,而钙拮抗剂可扩张血管,减少心肌耗氧,增加心肌供氧,阻止过多Ca2+进入心肌产生抗心肌缺血作用。
9.毒副反应
实验测得莲心碱、甲基莲心碱注射液的半数致死量分别为34.9±5.5mg/kg和26±2.3mg/kg。中毒表现为全身肌无力、紫绀、眼球突出、进行性呼吸困难等。 取莲子心粗碎,加70%乙醇回流提取,分取提取液,减压回收乙醇至尽,真空干燥,粉碎过筛即得。

图3为莲子心的紫外光谱图 分光光度法测定莲子心中生物碱的含量
标准曲线的制备:精密称取莲心碱(恒重) 5.4mg置10ml棕色容量瓶内,以无水乙醇溶解并定容,精密吸取上述标准溶液0.0、0.4、0.5、0.6、0.7、0.8、0.9、1.0ml分别置10ml棕色容量瓶内,无水乙醇定容,紫外分光光度计在283nm处测定吸光度,以吸光度为纵坐标,莲心碱浓度(μg/ml)为横坐标绘制标准曲线。
供试品溶液的制备及样品的测定:精密称取提取物50mg,置50ml烧杯中,加3%枸椽酸10ml加热溶解,加活性炭少许,过滤,以3%枸椽酸洗涤滤渣,得滤液约20ml,以乙醚萃取两次,每次15ml,将上述乙醚萃取后水相用氨水碱化,调pH=9.0~10.0,以乙醚萃取生物碱,15ml/次,共7次,收集乙醚液于250ml干净烧瓶内,水浴回收乙醚至干,将上述烧瓶内残留物以无水乙醇热溶出并定容至50ml容量瓶中,用紫外分光光度计在283nm处测定上述溶液的吸光度,按下式计算。
莲心生物总碱(%)=5×C/W×100%
C:曲线上查得浓度(μg/ml);W:提取物称样量(mg)2.薄层扫描测定莲子心中莲子碱的含量
精密称取莲子心粗粉(40目)约1g,置具塞三角烧瓶内,以少许氨水润湿后,加入甲醇20ml,超声提取30分钟;离心,残渣同上提取一次;上清液合并,水浴蒸干,残渣以少量氯仿溶解并定容为5ml,即为供试品溶液。精密称取莲心碱对照品适量,加氯仿溶解,配制成浓度为0.5mg/ml的对照液。分取对照液和供试液5μl,点于同一硅胶板(取硅胶G5g,加0.3%CMC-Na溶液18ml调成糊状,涂布10cm×20cm玻璃板5块,晾干,105℃活化1小时)上,以氯仿-丙酮-二乙胺(6:4:1)上行展开18cm,紫外灯下观察荧光后,以碘化铋钾显色确认生物碱斑点。按下述条件扫描:λs=282nm,λR=330nm,狭缝1.25mm×1.25mm, 扫描速度20mm/min;反射法, 锯齿扫描。测量供试品吸收度和对照品吸收度积分值, 计算即得。 为睡莲科植物莲Nelumbo muciferaGaertn.的成熟种子中的干燥幼叶及胚根。
性状:本品略呈细棒状,长1~1.4cm,直径约0.2cm。幼叶绿色,一长一短,卷成箭形,先端向下反折,两幼叶间可见细小胚芽。胚根圆柱形,长约3mm,黄白色。质脆,易折断,断面有数个小孔。气微,味苦。
鉴别:(1) 本品粉末灰绿色。表皮细胞略呈长方形,壁薄。叶肉细胞壁薄,类圆形,细胞内含众多淀粉粒与绿色色素。胚根细胞呈长方形,排列整齐,壁菲薄,有的含脂肪油滴。幼叶组织中细胞间隙较大。(2) 取本品粉末2g,加氯仿15ml,加热回流15分钟,滤过,滤液置水浴上蒸发去氯仿,残渣加稀盐酸2ml使溶解,滤过,取滤液1ml,加碘化铋钾试液1~2滴,生成橙红色沉淀。
水分:不得过12.0%。
含量测定:本品以干燥品计,含莲心碱不得低于0.2%。 紫外光谱鉴别:取样品粗粉0.1g,2份,分别置50ml碘量瓶中,各加石油醚(60~90℃)、乙醇20ml,室温浸泡2h,振摇,滤过,石油醚滤液与稀释 10倍后乙醇溶液,用岛津UV-265FW型紫外分光光度计测定其紫外光谱。测试条件:波长范围200~400nm,吸收度量程0~3A,狭缝1nm,扫描速度200nm/min,尺度扩张 40nm/cm。结果莲子心λmaxPet为266.2(sh)、 210.2nm;λmaxEtOH为350.6、273.0、205.4nm, λminEtOH为249.8nm。

图4为莲子心的紫外光谱图
1.石油醚提取液 2.乙醇提取液 传统医学认为莲子心苦寒,清心安神,交通心肾,涩精止血。用于热入心包,神昏谵语,心肾不交,失眠遗精,血热吐血。现代研究表明莲子心及其提取物有广泛的生物活性,可用于治疗高血压、心律失常、心肌缺血等。 国内涉及莲子心或其提取物的专利达17项,包括保健茶、保健酒、饮料等多种产品形态。莲心制成药品如莲心碱注射液、复方莲心液等。
莲子心提取物供应商 更多
成都普思生物科技股份有限公司
联系电话:028-85370565-229 18080489829
产品介绍:
中文名称:莲子心提取物
纯度:80%
包装信息:1g;10g;50g
备注:纯度、价格需咨询
陕西新天域生物科技有限公司
联系电话:17749282610; 17749282610
产品介绍:
中文名称:莲子心提取物
英文名称:Nelumbinis Plumula。
纯度:10:1
包装信息:1kg/纸板桶/
备注:厂家直销 品质保障 量大优惠
武汉普洛夫生物科技有限公司
联系电话:00-18372743325 18372743325
产品介绍:
中文名称:莲子心提取物
英文名称:Lotus Plumule P.E.
纯度:99%
包装信息:1kg/袋,5kg/袋,25kg/纸板桶