腔肠素
中文名称:腔肠素
英文名称:Coelenterazine
CAS号:55779-48-1
分子式:C26H21N3O3
分子量:423.46
EINECS号:
Mol文件:55779-48-1.mol
腔肠素 性质
| 熔点 | 176–181 ℃ (decompose) |
|---|---|
| 沸点 | 641.4±65.0 °C(Predicted) |
| 密度 | 1.32±0.1 g/cm3(Predicted) |
| 储存条件 | -20°C |
| 溶解度 | 可溶于甲醇和乙醇 |
| 形态 | 固体 |
| 酸度系数(pKa) | 9.91±0.15(Predicted) |
| 颜色 | 粘黄色 |
| 敏感性 | Moisture & Light Sensitive |
| 最大波长(λmax) | 429nm |
| 生物领域应用 | Calciumindicator; detecting luciferase,protease,gene expression,nucleic acids,proteins,stem cells,quantum dot conjugates,superoxide; tracing protein dynamics; as a substrate for luciferase,alka |
| InChI | InChI=1S/C26H21N3O3/c30-20-10-6-18(7-11-20)15-23-26(32)29-16-24(19-8-12-21(31)13-9-19)27-22(25(29)28-23)14-17-4-2-1-3-5-17/h1-13,16,27,30-31H,14-15H2 |
| InChIKey | YHIPILPTUVMWQT-UHFFFAOYSA-N |
| SMILES | C12N=C(CC3=CC=C(O)C=C3)C(=O)N1C=C(C1=CC=C(O)C=C1)NC=2CC1=CC=CC=C1 |
| CAS 数据库 | 55779-48-1(CAS DataBase Reference) |
腔肠素 用途与合成方法
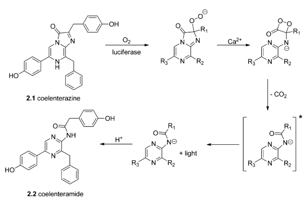
腔肠素(Coelenterazine )是最为常见的海洋荧光素,它也是绝大多数海洋发光生物的光能贮存分子。它作为水母发光蛋白(Aequorin)的底物而广为人知。能在荧光素酶诸如Renilla, Gaussia, Oplophorus等的作用下产生强烈的蓝光(480 nm)而无需辅因子的参与。除了天然腔肠素外,科研人员还设计了多种具有不同的光谱性质、稳定性、钙离子亲和力及通透性的腔肠素衍生物,满足了不同的实验需求。腔肠素的化学发光机理如下:

首先,氧分子(O2)在荧光素酶的催化下结合在腔肠素分子的咪唑并吡嗪环的2位,并形成过氧化物,该过氧化物随后形成一个高能的四元环。由于环张力大,极其不稳定,四元环断裂并释放一分子二氧化碳,同时生成处于激发态的酰胺阴离子。该酰胺阴离子由激发态回到基态的过程中,释放的能量以光的形式表现出来。 1.天然腔肠素55779-48-1 应用非常广泛的标准底物。腔肠素是天然水母发光蛋白复合物的发光基团,也是海肾荧光素酶的底物。底物的快速再生比较重要的实验推荐使用天然腔肠素。
1)生物发光检测钙离子的灵敏度非常高,检测范围从0.1μM到>100μM;
2)使用腔肠素监测报告基因表达是其主要应用;
3)其他应用包括生物共振能量转移BRET,化学发光检测细胞或组织内的超氧阴离子和过氧化亚硝基阴离子水平(ROS)。
2. 腔肠素400a70217-82-2 是一种腔肠素衍生物,用作海肾荧光素酶Rluc的底物,发射峰约400nm。含GFP受体的BRET研究是海肾荧光素酶(Rluc)的首选底物,因其对GFP受体的发射波干扰非常小。不可用作分泌型膜锚定荧光素酶(Gluc)底物.
3. 腔肠素H50909-86-9 腔肠素H是天然腔肠素的脱羟基衍生物.形成的水母发光蛋白复合物比天然腔肠素复合物的光强度高10倍以上;比天然腔肠素对钙离子敏感度更高; 是一种检测钙离子浓度微小变化的实用探针.也适用于体内外报告基因分析。
4. 腔肠素hcp123437-32-1 其生物发光强度最高(腔肠素hcp形成水母发光蛋白复合物的荧光强度比天然腔肠素复合物高190倍),对Ca2+反应速度快。
5. 腔肠素f 123437-16-1 腔肠素f形成的水母发光蛋白复合物的光强度是天然腔肠素复合物的20倍,最大发射波长约8nm.具有最好的细胞渗透性。当需要具极高钙离子Ca2+灵敏度的水母发光蛋白复合物,建议用腔肠素f
6. 腔肠素e114496-02-5 体外水母发光蛋白再生中腔肠素e的速度最高,具有双发射峰,分别为405nm和465nm,使其能在PCa5-7F范围内通过双发射峰荧光强度比率的方式测定Ca2+浓度,提高检测准确度。但由于渗透性差,不适合胞内应用。在溶液中稳定性差。
7. 腔肠素n所有的腔肠素衍生物中荧光强度最弱,对Ca2+r反应时间明显慢于天然腔肠素。一种非常有用的低灵敏腔肠素。

天然腔肠素及其衍生物的光谱特性 Coelenterazine是一种发光酶底物,用于在BRET,ELISA 和 HTS 技术中监测受体基因。

首先,氧分子(O2)在荧光素酶的催化下结合在腔肠素分子的咪唑并吡嗪环的2位,并形成过氧化物,该过氧化物随后形成一个高能的四元环。由于环张力大,极其不稳定,四元环断裂并释放一分子二氧化碳,同时生成处于激发态的酰胺阴离子。该酰胺阴离子由激发态回到基态的过程中,释放的能量以光的形式表现出来。 1.天然腔肠素55779-48-1 应用非常广泛的标准底物。腔肠素是天然水母发光蛋白复合物的发光基团,也是海肾荧光素酶的底物。底物的快速再生比较重要的实验推荐使用天然腔肠素。
1)生物发光检测钙离子的灵敏度非常高,检测范围从0.1μM到>100μM;
2)使用腔肠素监测报告基因表达是其主要应用;
3)其他应用包括生物共振能量转移BRET,化学发光检测细胞或组织内的超氧阴离子和过氧化亚硝基阴离子水平(ROS)。
2. 腔肠素400a70217-82-2 是一种腔肠素衍生物,用作海肾荧光素酶Rluc的底物,发射峰约400nm。含GFP受体的BRET研究是海肾荧光素酶(Rluc)的首选底物,因其对GFP受体的发射波干扰非常小。不可用作分泌型膜锚定荧光素酶(Gluc)底物.
3. 腔肠素H50909-86-9 腔肠素H是天然腔肠素的脱羟基衍生物.形成的水母发光蛋白复合物比天然腔肠素复合物的光强度高10倍以上;比天然腔肠素对钙离子敏感度更高; 是一种检测钙离子浓度微小变化的实用探针.也适用于体内外报告基因分析。
4. 腔肠素hcp123437-32-1 其生物发光强度最高(腔肠素hcp形成水母发光蛋白复合物的荧光强度比天然腔肠素复合物高190倍),对Ca2+反应速度快。
5. 腔肠素f 123437-16-1 腔肠素f形成的水母发光蛋白复合物的光强度是天然腔肠素复合物的20倍,最大发射波长约8nm.具有最好的细胞渗透性。当需要具极高钙离子Ca2+灵敏度的水母发光蛋白复合物,建议用腔肠素f
6. 腔肠素e114496-02-5 体外水母发光蛋白再生中腔肠素e的速度最高,具有双发射峰,分别为405nm和465nm,使其能在PCa5-7F范围内通过双发射峰荧光强度比率的方式测定Ca2+浓度,提高检测准确度。但由于渗透性差,不适合胞内应用。在溶液中稳定性差。
7. 腔肠素n所有的腔肠素衍生物中荧光强度最弱,对Ca2+r反应时间明显慢于天然腔肠素。一种非常有用的低灵敏腔肠素。

天然腔肠素及其衍生物的光谱特性 Coelenterazine是一种发光酶底物,用于在BRET,ELISA 和 HTS 技术中监测受体基因。
对各种生物过程的检测表明,coelenterazine (CTZ)能够被荧光素酶催化,比如海肾Renilla reniformis (Rluc) 和海洋桡足动物Gaussia princeps(Gluc),其会发散蓝色的光。在表达Gli36-Gluc或Gli36-Rluc的Gli36细胞中,coelenterazine (8 μM/ml)表现出生物发光信号。在RIN-5F,4T1,HCT 116,HEK 293,293FT,HeLa 和INS-1细胞中,coelenterazine能够用于测定超氧阴离子浓度。
在植入4T1的小鼠中,Coelenterazine能够检测癌症相关的超氧阴离子,并用于评估超氧阴离子在癌症细胞生物学中的作用,以及其在病理学中的作用。腔肠素 价格(试剂级)
| 更新日期 | 产品编号 | 产品名称 | CAS号 | 包装 | 价格 |
|---|---|---|---|---|---|
| 2026-03-03 | S7777 | 腔肠素 | 55779-48-1 | 1mg | 1219.75 |
| 2026-03-03 | S7777 | 腔肠素 | 55779-48-1 | 5mg | 3650 |
腔肠素供应商 更多
泰州凯美迪生物医药技术有限公司
黄金产品
联系电话:0523-86200218 18994667082
产品介绍:
中文名称:腔肠素
CAS:55779-48-1
纯度:60-80%
备注:荧光素底物
成都赛莱斯科技有限公司
黄金产品
联系电话: 19982073091
产品介绍:
中文名称:腔肠素
英文名称:Coelenterazine
CAS:55779-48-1
纯度:>98%
包装信息:50mg;100mg;1g;5g;10g
备注:我公司所有产品仅用作科学研究或药证申报,我们不为任何个人用途提供产品和服务
上海乾豪生物科技有限公司
黄金产品
现货
联系电话: 13524877553
产品介绍:
中文名称:天然腔肠素
英文名称:Coelenterazine
CAS:55779-48-1
包装信息:详询
库存量:>100g
现货日期:2026/4/7 10:39:18
常州辰鸿生物科技有限公司
黄金产品
大货
联系电话:+86-0519-85788828 +86-13775037613
产品介绍:
英文名称:Coelenterazine
CAS:55779-48-1
纯度:98
包装信息:50mg;100mg;250mg;500mg;1g;5g
备注:G级|
合肥利奥生物科技有限公司
黄金产品
联系电话: 15715515222
产品介绍:
中文名称:腔肠素
英文名称:Coelenterazine
CAS:55779-48-1
纯度:98.80%
包装信息:1g;10g;50g
备注:自研产品
腔肠素生产厂家及价格列表
Coelenterazine
上海伟寰生物科技有限公司
2026-04-05
腔肠素 Coelenterazine 55779-48-1
成都彼样生物科技有限公司
2026-04-03