5A-羟基拉肖皂苷元

英文名称:5-alpha-Hydroxy- Laxogenin
CAS号:56786-63-1
分子式:C27H42O5
分子量:446.62
EINECS号:1312995-182-4
Mol文件:56786-63-1.mol
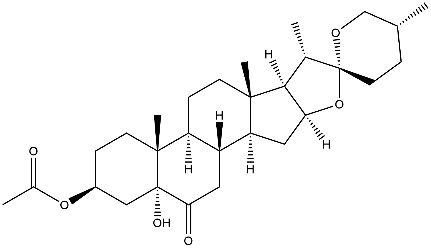
5A-羟基拉肖皂苷元 结构式

5A-羟基拉肖皂苷元 性质

熔点 247-250 °C
沸点 578.4±50.0 °C(Predicted)
密度 1.21±0.1 g/cm3(Predicted)
储存条件 Sealed in dry,Room Temperature
溶解度 DMF:15mg/mL;二甲基亚砜:10mg/mL
形态 固体
酸度系数(pKa) 12.62±0.70(Predicted)
InChIKey HCRGPOQBVFMZFY-YPAZECSTNA-N
SMILES C1C[C@]2(C)C3CC[C@]4(C)C5[C@H](C)C6(OC[C@H](C)CC6)OC5CC4C3CC(=O)[C@@]2(O)C[C@H]1O |&1:2,7,10,15,27,30,r|

5A-羟基拉肖皂苷元 用途与合成方法

5A-羟基拉肖皂苷元呈白色粉状,可用作医药原料。

5A-羟基拉肖皂苷元是一种皂苷配基,也就是皂苷无糖成分中的类固醇。5A-羟基拉肖皂苷元是提取自类似芦笋的植物,这种化合物是一种类似油菜素类固醇的螺旋体化合物,它是一种在花粉、种子和树叶等植物和食物中含有的少量植物性类固醇。它拥有氧甲氢龙的一些优点(减少性激素结合球蛋白,提高睾酮活性,增加氮蓄积量,促进合成代谢)。人类研究表明氧甲氢龙能够不用锻炼就能增强肌肉力量和瘦身。另外它还有减肥,改善胰岛素敏感度,加快伤口治愈等功能。但是拉肖皂苷元是天然植物萃取,规避了对肝产生的副作用和兴奋剂阳性检测的可能性。

5A-羟基拉肖皂苷元用作医药中间体。
生产方法 
Spirostan-6-one, 3-(acetyloxy)-5-hydroxy-, (3β,5α,25R)-

5874-17-9

5A-羟基拉肖皂苷元

56786-63-1

以5克(10.2毫摩尔)化合物8(CAS:5874-17-9)为原料,将其溶解于390毫升甲醇中。随后,缓慢加入4.6克NaHCO3溶于60毫升水的溶液,反应混合物在回流条件下搅拌3小时。反应完成后,将混合物冷却至室温,静置沉降。将沉降后的反应混合物倒入水中,经过滤、干燥后得到4.35克目标产物S9(收率95%),熔点为272℃(甲醇)。产物的结构通过以下表征确认:IR(KBr,cm-1):3396(νOH),2953(νCH),1703(νC=O),1449和1380(δCH),1055(νC-O),977(螺缩酮);1H-NMR(δ,ppm):1.97/1.30(m,2H,H-1),1.80/1.45(m,2H,H-2),3.93(m,1H,H-3),1.84/1.69(m,2H,H-4),2.82/2.04(m,2H,H-7),1.94(m,1H,H-8),1.99(m,1H,H-9),1.51/1.36(m,2H,H-11),1.81/1.28(m,2H,H-12),1.47(m,1H,H-14),1.96/1.29(m,2H,H-15),4.44(m,1H,H-16),1.83(m,1H,H-17),0.82(s,3H,CH3-18),0.83(s,3H,H-19),1.90(m,1H,H-20),0.99(d,3H,CH3-21),1.70/1.60(m,2H,H-23),1.65/1.46(m,2H,H-24),1.64(m,1H,H-25),3.48/3.40(m,2H,H-26),0.82(d,CH3-27);13C-NMR(δ,ppm):30.4(C-1),29.8(C-2),67.2(C-3),36.5(C-4),80.7(C-5),211.7(C-6),41.9(C-7),36.7(C-8),44.6(C-9),42.4(C-10),21.3(C-11),39.5(C-12),41.1(C-13),56.1(C-14),31.6(C-15),80.5(C-16),62.0(C-17),16.4(C-18),14.2(C-19),41.6(C-20),14.5(C-21),109.3(C-22),31.3(C-23),28.8(C-24),30.3(C-25),66.9(C-26),17.1(C-27)。

参考文献:

[1] Molecules, 2016, vol. 21, # 8,

5A-羟基拉肖皂苷元 上下游产品信息

上游原料

5A-羟基拉肖皂苷元供应商 更多

上海丰颐生物科技有限公司
黄金产品
联系电话:021-26015538
产品介绍:
中文名称:5A-羟基拉肖皂苷元;
英文名称:5-alpha-Hydroxy-Laxogenin
CAS:56786-63-1
纯度:99.00%
包装信息:1KG,5KG,25KG
备注:医药级
北京市斯旺达康科贸有限公司
黄金产品
联系电话:010-57203829
产品介绍:
中文名称:5A-羟基拉肖皂苷元
英文名称:5a-hydroxy laxogenin
CAS:56786-63-1
包装信息:1KG/
武汉腾华纳米材料有限公司
黄金产品
联系电话: 13212769786
产品介绍:
中文名称:5A-羟基拉肖皂苷元
英文名称:5a-hydroxy laxogenin
CAS:56786-63-1
纯度:99%
包装信息:1kg/RMB 5500;25kg/RMB 5300
备注:Q:2024685872
山东丰泰生物科技有限公司
现货
联系电话:0531-0531-82066716 15662658391
产品介绍:
中文名称:5A-羟基拉肖皂苷元
英文名称:5a-hydroxy Laxogenin
CAS:56786-63-1
纯度:0.99
包装信息:1*25kg
备注:Kg级|
库存量:636kg
现货日期:2026/3/26 10:45:41
湖北楚盛威化工有限公司
现货
联系电话:027-87891008 18971624303
产品介绍:
中文名称:5A-羟基拉肖皂苷元
英文名称:5-alpha-Hydroxy- Laxogenin
CAS:56786-63-1
纯度:99%
包装信息:100g/RMB 3500;1000g/RMB 3000
备注:现货,可分装
库存量:68公斤
现货日期:2026/3/26 11:31:38

5A-羟基拉肖皂苷元生产厂家及价格列表

5A-羟基拉肖皂苷元
湖北鸿福达生物科技有限公司 2026-04-03
5A-羟基拉肖皂苷元
广州远达新材料有限公司 2026-04-03