White to light yellow solid
Sodium Triflinate (Sodium trifluoromethanesulfinate), is a sulfur-containing building block and Fluorination reagents, used in various organic synthesis. It can be used in a new and convenient method for the copper-catalyzed construction of functional sulfonamides in good yields and excellent chemoselectivity.
Efficient sulfinate salt for the trifluoromethylation of various aryls, aryl boronic acids, alkenes, and alkynes.
reaction type: C-C Bond Formation
soluble in H2O, slightly soluble in MeOH, MeCN, and acetone.
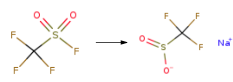
At first, an aqueous solution was prepared by dissolving 37.5 g of sodium sulfite in 150 g of water. Then, a metal pressure-proof reactor was charged with this aqueous solution. After that, the atmosphere of the reactor was removed to obtain a reduced pressure. 10.7 g of trifluoromethanesulfonic fluoride was added to the reactor, stirring at 5° C. for 4 hr. The resulting reaction liquid was neutralized with sodium carbonate, followed by water removal. Then, methanol was added to the remaining solid matter to extract the target product. The resulting methanol solution was concentrated to dryness, thereby obtaining 9.7 g of sodium trifluoromethanesulfinate (yield: 88%).

[1] Patent: US2001/31891, 2001, A1