End-carboxyl liquid nitrile rubber
Implementation standard: GJB 2050A-2020
English name: Carboxylated-terminated liquid acrylonitrile rubber (CTBN)
Chinese alias: terminal carboxyl liquid nitrile rubber
CAS RN:68891-46-3
1. Brief Product Description:
End carboxyl liquid nitrile rubber (CTBN) is a kind of liquid remote claw polymer, which contains active carboxyl group at both ends of the molecular chain, has the performance of rereaction chain expansion, and is the best toughening agent for thermosetting resin. CTBN introduces acrylonitrile in the main chain, which has strong polarity and high and low temperature
Performance, stability and blending with resin, oil resistance, crack resistance.
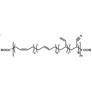
constitutional formula



2. Technical indicators
project name | metric |
CN-10-I | CN-10-II | CN-15 | CN-20 | CN-25 |
Viscosity (Pa · s, 40℃) | 7~10 | 13~30 | 30~60 | 50~90 |
Carboxyl content, and mol/kg | 0.58~0.65 | 0.50~0.65 | 0.43~0.50 |
Acrylonitrile content,% | 8.0~12.0 | 12.1~18.0 | 18.1~22.0 | 22.1~27.0 |
Number of mean molecular weight | 2.5~3.3*10³ | 2.0~3.0*10³ | 2.3~2.8*10³ | 2.1~2.6*10³ | 1.9~2.4*10³ |
Shuifen,% | ≤0.05 |
Fugitive constituent,% | ≤2.0 |
Note: The CN-25 viscosity is measured at 70℃. |
3. Application: CTBN is mainly used as the adhesive of solid rocket propellant. In addition, it is an excellent toughness modifying agent of epoxy, phenolic, unsaturated polyester and photosensitive resin, and is widely used in bonding, sealing, spraying and irrigation in aerospace, electronics, automobiles, high-speed rail, ships, light textile and chemical industry
Seal and coating.
4, packaging: 20kg iron bucket packaging or 50kg closed polyethylene white plastic bucket packaging, bucket mouth diameter is not less than 100mm.
5, storage: cool, ventilated place closed storage, storage temperature range should be (-20~38) ℃. The storage period of this product is 12 months, and the storage period expires
After that, it shall be resampled and re-tested according to the technical index requirements of Part 2 of this clause, and can still be used after passing.
6, transportation: in the process of transportation should avoid rain, humidity, prevent exposure, can not be mixed with strong oxidant.