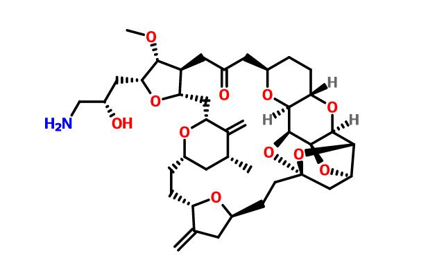
Eribulin is a anticancer drug and also is a fully synthetic macrocyclic ketone analogue of the marine natural product halichondrin B
Structural formula:

Indications:Breast Cancer
Status:Process Validation
Related intermediates:
Methyl 2-((2R,4aS,6S,7R,8S,8aS)-7,8-bis((tert-butyldimethylsilyl)oxy)-6-((S,E)-1-((tert-butyldimethylsilyl)oxy)-3-iodoallyl)octahydropyrano[3,2-b]pyran-2-yl)acetate
CAS No.:157322-83-3
Structural Formula:

3-((2S,5S)-5-((3R,5R)-3-hydroxy-6-iodo-5-methylhept-6-enyl)-4-methylenetetrahydrofuran-2-yl)propyl pivalate;[2S-[2alpha,5beta(3S*,5S*)]]-2,2-Dimethylpropanoic acid 3-[tetrahydro-5-(3-hydroxy-6-iodo-5-methyl-6-heptenyl)-4-methylene-2-furanyl]propyl ester
CAS No.:157322-47-9
Structural Formula:

2-((2S,3S,4R,5R)-5-((S)-2,3-bis(tert-butyldimethylsilyloxy)propyl)-4-methoxy-3-(tosylmethyl)tetrahydrofuran-2-yl)acetaldehyde
CAS No.:1808153-90-3
Structural Formula:

4.3,6-Anhydro-2,4,7-trideoxy-8,9-bis-O-[(1,1-dimethylethyl)dimethylsilyl]-5-O-methyl-4- [(phenylsulfonyl)methyl]-D-glycero-D-gulo-nonose
CAS No.:871348-24-2
Structural Formula:

5.(2-Furanpropanol, 5-[2-[(2S,4R,6R)-6-[[(2S,3S,4R,5R)-5-[(2S)-2,3-bis[[(1,1- dimethylethyl)dimethylsilyl]oxy]propyl]tetrahydro-4-methoxy-3-[(phenylsulfonyl) methyl]-2-furanyl]methyl]tetrahydro-4-methyl-5-methylene-2H-pyran-2-yl]ethyl]
CAS No.:253128-10-8
Structural Formula:

6.7,11:10,14:21,24:27,31-Tetraepoxy-5H-cyclohentriaconta[b]furan-5-one, 2-[(2S)-2,3-bis[[(1,1-dimethylethyl)dimethylsilyl]oxy]propyl]-12,13,15-tris[[(1,1-dimethylethyl)dimethylsilyl]oxy]-2,3,3a,4,6,7,8,9,10,11,12,13,14,15,18,19,20,21,22,23,24,25,26,27,28,29,30,31,32,32a-triacontahydro-18-hydroxy-3-me
CAS No.:871360-42-8
Structural Formula:
