Synonym
APRIL, TNFSF13, TALL-2, TRDL-1, CD256, TALL2, ZTNF2
Source
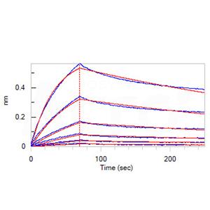
Human APRIL Protein, His,Flag Tag (APL-H52D1) is expressed from human 293 cells (HEK293). It contains AA Gln 111 - Leu 250 trimer Design.
Predicted N-terminus: His
Molecular Characterization
This protein carries a polyhistidine tag at the N-terminus, followed by a flag tag.
The protein has a calculated MW of 50.2 kDa. The protein migrates as 50-55 kDa when calibrated against Star Ribbon Pre-stained Protein Marker under non-reducing (NR) condition (SDS-PAGE) due to glycosylation.
Endotoxin
Less than 1.0 EU per μg by the LAL method / rFC method.
Purity
>95% as determined by SDS-PAGE.
>95% as determined by SEC-MALS.
Formulation
Lyophilized from 0.22 μm filtered solution in PBS, pH7.4 with trehalose as protectant.
Contact us for customized product form or formulation.
Reconstitution
Please see Certificate of Analysis for specific instructions.
For best performance, we strongly recommend you to follow the reconstitution protocol provided in the CoA.
Storage
For long term storage, the product should be stored at lyophilized state at -20°C or lower.
Please avoid repeated freeze-thaw cycles.
This product is stable after storage at:
-20°C to -70°C for 12 months in lyophilized state;
-70°C for 3 months under sterile conditions after reconstitution.