Synonym
NECTIN4, LNIR, PRR4, PVRL4
Source
Human Nectin-4, His Tag (NE4-H52H3) is expressed from human 293 cells (HEK293). It contains AA Gly 32 - Ser 349 (Accession # Q96NY8-1).
Predicted N-terminus: Gly 32
Request for sequence
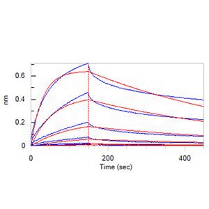
Molecular Characterization

Other Tags and Version Biotin & Other Labeled Version
This protein carries a polyhistidine tag at the C-terminus.
The protein has a calculated MW of 36.0 kDa. The protein migrates as 40 kDa when calibrated against Star Ribbon Pre-stained Protein Marker under reducing (R) condition (SDS-PAGE) due to glycosylation.
Endotoxin
Less than 1.0 EU per μg by the LAL method / rFC method.
Purity
>95% as determined by SDS-PAGE.
>95% as determined by SEC-MALS.
Formulation
Lyophilized from 0.22 μm filtered solution in PBS, pH7.4 with trehalose as protectant.
Contact us for customized product form or formulation.
Reconstitution
Please see Certificate of Analysis for specific instructions.
For best performance, we strongly recommend you to follow the reconstitution protocol provided in the CoA.
Storage
For long term storage, the product should be stored at lyophilized state at -20°C or lower.
Please avoid repeated freeze-thaw cycles.
This product is stable after storage at:
-20°C to -70°C for 12 months in lyophilized state;
-70°C for 3 months under sterile conditions after reconstitution.