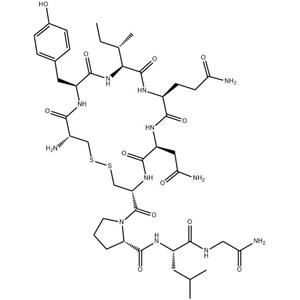
Oxytocin is a peptide hormone secreted from the posterior pituitary gland, synthesized by the paraventricular nucleus and supraoptic nucleus of the hypothalamus, consisting of nine amino acids, and released into the neuropituitary at a rate of 2 to 3 mm per day. .. Cysteine residues at positions "1" and "6" form a 6-peptide ring structure in the form of disulfide bonds.
Oxytocin stimulates milk production, promotes contraction of uterine smooth muscle during childbirth, and promotes mother's affection. In addition, it lowers the levels of stress hormones such as adrenal ketones in the body and lowers blood pressure. This is not a female patent and can be secreted by both men and women.
Oxytocin is a peptide hormone and neuropeptide normally produced in the hypothalamus and released from the posterior pituitary gland. It plays a role in social cohesion, reproduction, childbirth, and postpartum periods. Oxytocin is released into the blood as a hormone in response to sexual activity and the process of childbirth. It is also available in dosage form. In both forms, oxytocin stimulates uterine contractions to speed up the labor process. It can also naturally combine with infants to produce milk. The production and secretion of oxytocin is regulated by a positive feedback mechanism, the initial release of which stimulates the production and release of further oxytocin. For example, when oxytocin is released during uterine contractions when labor begins, it stimulates the production and release of more oxytocin, increasing the intensity and frequency of contractions. This process became complicated in intensity and frequency and continued until the trigger activity stopped. Similar processes occur during lactation and sexual activity.