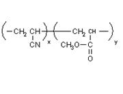
poly(methyl acrylate)
Modify Date: 2024-01-02 18:44:08
Properties
Articles1
Spectrum
Names
| Name | poly(methyl acrylate) macromolecule |
|---|
| Synonym | More Synonyms |
|---|
Chemical & Physical Properties
| Density | 1.22 g/mL at 25 °C |
|---|
| Boiling Point | 110 °C |
|---|
| Molecular Formula | C4H6O2 |
|---|
| Molecular Weight | 86.08920 |
|---|
| Flash Point | 40 °F |
|---|
| Exact Mass | 86.03680 |
|---|
| PSA | 26.30000 |
|---|
| LogP | 0.46480 |
|---|
| Appearance of Characters | Liquid | Clear |
|---|
| Vapour density | >1 (vs air) |
|---|
| Index of Refraction | n20/D 1.494 |
|---|
| Storage condition | Flammables area |
|---|
Company Profile
Our company is a high-tech enterprise specializing in chemical raw materials such as electronic materials, optoelectronic materials, semiconductor materials, UV monomers, silane catalysts, cosmetic raw materials, etc. The company integrates research and development, production, customized synthesis, and sales, and is committed to providing customers with high-quality chemical product solutions.
Our Company


Our Advantage
Rich experience
Our products have been exported to many countries, including Germany, Spain, the United Kingdom, the United States, Australia, the Middle East, Asia, and more. We have received highly positive feedback from our clients and have established long-term friendly cooperative relationships with them.
Excellent quality, purity, and competitive price
Excellent quality is one of the cornerstones of our success. We welcome ordering samples for quality testing.

Safe and fast delivery
We will arrange shipment of spot products as soon as we receive payment.
Customized products are determined based on the synthesis time of different products.
Excellent pre-sales and after-sales service
Pre sales:
We are committed to providing the most favorable quotes and detailed information about our products and company.
after-sale service:
We assist buyers in customs clearance by providing necessary documents and information.
If there is any dispute over product quality, we are committed to providing the best solution.
• Packaging:
1kg/bag, 25kg/drum, 50kg/drum, 180kg/drum, 200kg/drum, 1T/bag/drum, standard export packaging or packaging required by customers


• Shipping

• Delivery:
Within 7 days after receiving your payment
Contact information
For more details, pls contact us freely.
Contact name: Tina
Email address: Tina@fdachem.com
Mob: 86 13213167925
WhatsApp/Skype/Wechat/LINE: 86 15225627621