Whatsapp: +86-18975842720 Email: sales12@staherb.cn
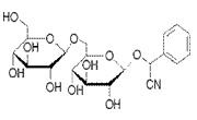
Vitamin b17 98%



| CAS | 29883-15-6 |
| Molecular formula | C20H27NO11 |
| Molecular weight | 457.43 |
| Product Name | Vitamin B17 |
| Appearance | White Powder |
| Type | amygdalin, b17 vitamin |
| Specification | 99% |
| Particle Size | 100% Pass 80 Mesh |
| Test Method | HPLC |
Bitter Apricot kernel extract/ Amygdalin/ Vitamin B17 is a glycoside initially from the seeds of the tree Prunus dulcis, also known as bitter almonds. Since the early 1950s, a modidied form of amygdalin has been promoted under the names laetrile and "Vitamin B17 "
"Vitamin B17" is not a B vitamin (as none of its components act as a coenzyme). It is chemically a compound of two sugar molecules, benzaldehyde and cyanide, called amygdalin; also known as Nitrilosides; derived from almonds; there is no such bitter almond in brewer's yeast Glycoside; most state governments in the United States do not recognize this as a drug for the treatment of cancer (25 states legally recognize it). The American Cancer Society warns patients who believe rumors on the Internet: Decades of clinical studies have shown that this compound has no evidence to support cancer. Taking this "supplement" will only increase the chances of cyanide poisoning and even death. The substances of amygdalin are not toxic themselves, but when they are metabolized and decomposed by β-glucosidase, they will produce toxic hydrocyanic acid.
Experiments have shown that the chemical properties of amygdalin are not active and have little effect on healthy tissues, only invading and destroying cancer cells. The active ingredient in amygdalin is a naturally occurring cyanide, a human metabolite that can only work in cancer cells. In healthy liver, kidney, spleen and leukocytes, the presence of β-glucosidase acting on amygdalin produces cyanide and benzaldehyde, which synergistically enhance toxicity. Toxic. Some people think it can control and prevent cancer.
1. Vitamin B17 Attending functions lower gas cough and asthma, laxative. For cough, asthma, chest full of phlegm, blood-chun, dry, dry bowel constipation.
2. Vitamin B17 Anti-inflammatory and analgesic effects.
3. Vitamin B17 Anti-tumor effect.
4. Vitamin B17 Lowering blood sugar,Hypolipidemic.
5. Vitamin B17 Elimination of pigmentation, freckles, dark spots, so as to achieve the effect of beauty.
| Items | Specification | Result |
| Amygdalin | 99% | 99.02% |
| Organoleptic |
| Appearance | Fine Powder | Conforms |
| Color | white powder | Conforms |
| Odor | Characteristic | Conforms |
| Taste | Characteristic | Conforms |
| Physical Characteristics |
| Particle Size | 100% Through 80 mesh | Conforms |
| Loss on Drying | ≤12.0% | Conforms |
| Ash (Sulphated Ash) | ≤0.5% | Conforms |
| Total Heavy Metals | ≤10ppm | Conforms |
| Microbiological Tests |
| Total Plate Count | ≤10000cfu/g | Conforms |
| Total Yeast & Mold | ≤1000cfu/g | Conforms |
| E.Coli | Negative | Negative |
| Salmonella | Negative | Negative |
| Staphylococcus | Negative | Negative |
1. Applied in cosmetics field.
2. Applied in products as capsules.
3. Applied in health products field.

