WebSite > CAS DataBase List >
107264-09-5More Spectrum > 1-Fluoropyridinium tetrafluoroborate (107264-09-5)MS
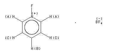
1-Fluoropyridinium tetrafluoroborate
Product Name 1-Fluoropyridinium tetrafluoroborate
CAS107264-09-5
MFC5H5BF5N
MW184.9
-
MS-IW-7217 1-fluoropyridinium tetrafluoroborate C5H5BF5N (Mass of molecular ion: 185)
Source Temperature: 180 °C Sample Temperature: 220 °C Direct, 75 eV
18.0 3.1 20.0 8.9 26.0 2.7 27.0 1.5 28.0 36.6 31.0 2.7 37.0 2.0 38.0 2.2 39.0 7.7 44.0 2.9 46.0 2.8 48.0 9.1 48.5 1.2 49.0 33.5 50.0 8.0 51.0 10.3 52.0 7.7 57.0 10.6 68.0 5.3 69.0 6.4 70.0 62.3 71.0 7.0 75.0 1.2 76.0 5.9 77.0 6.2 78.0 3.1 79.0 4.6 85.0 1.5 96.0 9.3 97.0 100.0 98.0 7.3
400 MHz in DMSO-d6
-
1H NMR 399.65 MHz C5 H5 B F5 N 0.042 g : 0.5 ml DMSO-d6 1-fluoropyridinium tetrafluoroborate 
Assign. Shift(ppm)
A 9.843 B 8.744 C 8.382
Hz ppm Int.3949.43 9.883 78 3946.38 9.875 595 3945.47 9.873 636 3943.63 9.868 253 3941.04 9.862 257 3939.06 9.857 699 3938.14 9.854 592 3936.00 9.849 129 3933.41 9.843 110 3930.36 9.835 614 3929.44 9.833 651 3927.61 9.828 260 3925.02 9.822 256 3923.03 9.817 687 3922.12 9.814 574 3919.98 9.809 106 3504.33 8.769 220 3503.27 8.766 236 3502.20 8.764 220 3496.70 8.750 489 3495.64 8.747 470 3494.57 8.745 474 3489.99 8.733 172 3489.07 8.731 279 3488.01 8.728 294 3486.94 8.725 270 3363.04 8.415 73 3359.99 8.408 500 3358.15 8.403 243 3354.49 8.394 733 3352.51 8.389 1000 3350.22 8.383 317 3349.00 8.380 337 3347.02 8.375 996 3345.03 8.370 622 3341.52 8.362 224 3339.54 8.357 442 3336.64 8.349 75
More Suppliers
1-Fluoropyridinium tetrafluoroborate (107264-09-5)MS Atlas of Related Products
1-FLUORO-2,4,6-TRIMETHYLPYRIDINIUM TETRAFLUOROBORATE(109705-14-8)MS
1-FLUORO-2,4,6-TRIMETHYLPYRIDINIUM TETRAFLUOROBORATE(109705-14-8)IR2
1-FLUORO-2,4,6-TRIMETHYLPYRIDINIUM TETRAFLUOROBORATE(109705-14-8)13CNMR
1-FLUORO-2,4,6-TRIMETHYLPYRIDINIUM TETRAFLUOROBORATE(109705-14-8)1HNMR
1-FLUORO-2,4,6-TRIMETHYLPYRIDINIUM TETRAFLUOROBORATE(109705-14-8)IR1






