-
MS-NW-1266 p-dicyclohexylbenzene C18H26 (Mass of molecular ion: 242)
Source Temperature: 260 °C Sample Temperature: 180 °C Reservoir, 75 eV
27.0 2.4 29.0 4.4 39.0 3.4 41.0 15.6 43.0 1.8 51.0 1.0 53.0 2.5 55.0 27.3 56.0 1.6 65.0 1.8 67.0 4.3 69.0 1.4 77.0 2.9 78.0 1.3 79.0 2.1 81.0 8.9 82.0 3.4 83.0 38.6 84.0 2.5 91.0 43.8 92.0 5.6 93.0 1.1 103.0 1.6 104.0 6.8 105.0 4.6 115.0 9.0 116.0 3.2 117.0 62.1 118.0 7.5 127.0 2.4 128.0 8.8 129.0 20.6 130.0 8.9 131.0 6.7 141.0 2.7 142.0 1.6 143.0 9.3 144.0 2.0 145.0 1.1 155.0 1.3 157.0 2.5 158.0 4.0 159.0 62.4 160.0 12.6 161.0 1.0 173.0 11.2 174.0 2.0 186.0 13.7 187.0 2.7 199.0 5.3 200.0 2.0 227.0 2.6 242.0 100.0 243.0 19.7 244.0 1.9
400 MHz in CDCl3
-
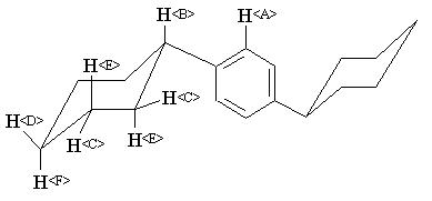
1H NMR 399.65 MHz C18 H26 13.0 mg : 0.5 ml CDCl3 p-dicyclohexylbenzene 
Assign. Shift(ppm)
A 7.126 B 2.459 C 1.91 to 1.780 D 1.733 E 1.46 to 1.310 F 1.242
Hz ppm Int.2847.78 7.126 1000 983.52 2.461 34 751.95 1.882 49 750.00 1.877 49 748.17 1.873 49 747.07 1.870 50 743.53 1.861 74 742.68 1.859 74 742.31 1.858 74 739.75 1.851 59 734.99 1.840 64 734.01 1.837 61 732.30 1.833 77 730.22 1.828 60 729.74 1.826 61 726.44 1.818 60 723.88 1.812 50 723.63 1.811 50 722.53 1.808 51 698.85 1.749 32 687.87 1.722 31 686.40 1.718 33 685.06 1.715 33 568.48 1.423 49 567.38 1.420 48 566.04 1.417 50 559.45 1.400 79 558.59 1.398 79 555.30 1.390 114 551.03 1.379 90 546.51 1.368 47 545.53 1.366 53 544.31 1.362 47 542.11 1.357 57 539.31 1.350 37
More Suppliers





