SpectrumDetail Supplier Related Products
WebSite > CAS DataBase List >  13200-86-7More Spectrum > N-FORMYL-L-TYROSINE(13200-86-7)13CNMR

13200-86-7

N-FORMYL-L-TYROSINE

Product Name N-FORMYL-L-TYROSINE

CAS13200-86-7

MFC10H11NO4

MW209.2

More

  • 13200-86-7_ms
    Mass

    MS-NW-2454          
    N-formyl-L-tyrosine
    C10H11NO4           (Mass of molecular ion:    209)
    

       Source Temperature: 230 °C
       Sample Temperature: 140 °C
       Direct, 75 eV
    

          18.0       2.3
          27.0       2.0
          28.0       5.4
          29.0       2.0
          39.0       3.4
          46.0       1.1
          51.0       2.9
          52.0       1.6
          53.0       2.4
          55.0       1.3
          63.0       1.3
          65.0       2.1
          68.0       1.4
          77.0      11.0
          78.0       2.7
          79.0       2.0
          91.0       4.1
          94.0       1.4
         107.0     100.0
         108.0       8.5
         118.0       1.7
         119.0       1.5
         135.0       1.0
         136.0       1.3
         147.0       2.9
         163.0       3.4
         164.0      43.4
         165.0       4.3
         209.0       1.4
    

400 MHz in DMSO-d6

  • 13200-86-7_1hnmr

    1H NMR 399.65 MHz
    C10 H11 N O4 0.041 g : 0.5 ml DMSO-d6
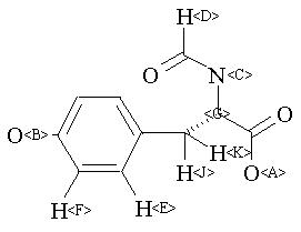
    N-formyl-L-tyrosine
    ChemicalStructure
        Assign.     Shift(ppm)
    A 12. B 10. C 8.31 D 7.976 E 7.008 F 6.671 G 4.443 J *1 2.959 K *1 2.764 J(C,D)=1.1HZ J(C,G)=8.1HZ J(G,J)=4.9HZ J(G,K)=8.8HZ J(J,K)=-13.9HZ

         Hz     ppm     Int.
    

       3327.49   8.327    236
       3326.42   8.324    243
       3319.37   8.306    243
       3318.09   8.303    248
       3187.95   7.977    647
       2808.24   7.027    146
       2805.46   7.020    795
       2797.12   6.999    903
       2672.97   6.689    212
       2669.98   6.681   1000
       2663.36   6.665    352
       2661.44   6.660    930
       1787.04   4.472     95
       1781.91   4.459    122
       1778.49   4.451    207
       1773.58   4.438    208
       1769.95   4.429    129
       1765.03   4.417    103
       1193.21   2.986    165
       1188.30   2.974    168
       1179.32   2.951    229
       1174.41   2.939    221
       1115.22   2.791    232
       1106.46   2.769    235
       1101.33   2.756    182
       1092.35   2.734    170
    

in DMSO-d6

  • 13200-86-7_13cnmr

KBr disc

  • 13200-86-7_ir1_2

nujol mull

  • 13200-86-7_ir2