WebSite > CAS DataBase List >
13754-86-4More Spectrum > 1,5,6,7-TETRAHYDRO-4H-INDOL-4-ONE(13754-86-4)13CNMR
1,5,6,7-TETRAHYDRO-4H-INDOL-4-ONE
Product Name 1,5,6,7-TETRAHYDRO-4H-INDOL-4-ONE
CAS13754-86-4
MFC8H9NO
MW135.16
-
MS-IW-4930 1,5,6,7-tetrahydro-4-indolone C8H9NO (Mass of molecular ion: 135)
Source Temperature: 150 °C Sample Temperature: 120 °C Direct, 75 eV
27.0 2.7 28.0 8.0 37.0 1.2 38.0 3.2 39.0 6.0 41.0 1.8 50.0 4.0 51.0 9.7 52.0 18.0 52.5 1.0 53.0 4.0 53.5 6.0 54.0 1.1 63.0 2.0 64.0 1.0 65.0 2.2 66.0 1.0 67.0 1.2 77.0 5.1 78.0 5.0 79.0 83.6 80.0 6.8 92.0 1.7 93.0 1.2 104.0 2.9 105.0 1.6 106.0 5.0 107.0 94.9 108.0 7.2 118.0 1.4 120.0 2.9 134.0 1.8 135.0 100.0 136.0 9.5
400 MHz in DMSO-d6
-
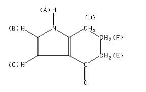
1H NMR 399.65 MHz C8 H9 N O 0.040 g : 0.5 ml DMSO-d6 1,5,6,7-tetrahydro-4-indolone 
Assign. Shift(ppm)
A 11.3 B 6.717 C 6.258 D 2.748 E 2.293 F 2.004
Hz ppm Int.4517.80 11.305 99 2687.24 6.724 412 2684.49 6.718 519 2682.11 6.712 402 2503.52 6.265 450 2501.32 6.259 551 2500.59 6.257 540 2498.39 6.252 422 1104.49 2.764 540 1098.45 2.749 1000 1092.22 2.733 575 925.36 2.316 532 919.50 2.301 771 918.03 2.298 605 912.54 2.284 680 813.08 2.035 181 806.67 2.019 489 800.44 2.003 654 794.03 1.987 435 790.36 1.978 78 787.80 1.972 137
More Suppliers
- Hubei Deli Pharmaceutical Technology Co., Ltd.
- Amadis Chemical Company Limited
- ATK CHEMICAL COMPANY LIMITED
- Klong Industrial Co., Ltd
- Chongqing Chemdad Co., Ltd
- Alchem Pharmtech,Inc.
- CONIER CHEM AND PHARMA LIMITED
- Hefei TNJ Chemical Industry Co.,Ltd.
- Changzhou Carman Chemical Co., Ltd.
- Dayang Chem (Hangzhou) Co.,Ltd.





