WebSite > CAS DataBase List >
140623-89-8More Spectrum > 1-FLUORO-2,6-DICHLOROPYRIDINIUM TETRAFLUOROBORATE(140623-89-8)MS
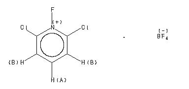
1-FLUORO-2,6-DICHLOROPYRIDINIUM TETRAFLUOROBORATE
Product Name 1-FLUORO-2,6-DICHLOROPYRIDINIUM TETRAFLUOROBORATE
CAS140623-89-8
MFC5H3BCl2F5N
MW253.79
-
MS-IW-7231 2,6-dichloro-1-fluoropyridinium tetrafluoroborate C5H3BCl2F5N (Mass of molecular ion: 253)
Source Temperature: 190 °C Sample Temperature: 230 °C Direct, 75 eV
17.0 1.1 18.0 6.8 20.0 7.9 26.0 2.9 27.0 1.0 28.0 31.1 31.0 7.2 33.0 2.2 35.0 4.5 36.0 26.7 37.0 6.5 38.0 11.7 39.0 3.6 44.0 3.9 46.0 1.1 47.0 2.2 48.0 16.7 49.0 65.5 50.0 15.4 51.0 13.9 52.0 4.4 55.5 1.6 56.0 2.4 57.0 5.0 58.0 1.0 60.0 4.7 61.0 3.0 62.0 5.4 63.0 3.3 64.0 14.9 65.0 1.7 67.0 2.1 68.0 6.9 69.0 8.0 70.0 4.0 72.0 3.5 73.0 2.6 73.5 1.5 74.0 2.5 74.5 1.4 75.0 10.2 76.0 43.7 77.0 4.0 82.0 4.1 83.0 1.7 84.0 6.8 85.0 26.6 86.0 3.8 87.0 8.3 88.0 3.6 89.0 2.0 91.0 1.0 93.0 3.0 94.0 4.2 95.0 1.8 96.0 15.7 97.0 1.0 98.0 1.2 100.0 1.2 102.0 3.3 103.0 1.5 104.0 1.6 106.0 1.7 107.0 2.2 108.0 4.1 110.0 4.5 111.0 1.7 112.0 85.9 113.0 6.6 114.0 54.3 115.0 4.4 118.0 1.5 119.0 1.2 120.0 1.2 121.0 1.0 127.0 1.0 130.0 8.4 131.0 16.8 132.0 4.4 133.0 10.5 134.0 10.4 138.0 1.0 143.0 1.1 146.0 3.7 147.0 96.0 148.0 8.5 149.0 100.0 150.0 8.6 151.0 21.4 152.0 2.5 153.0 1.3 165.0 10.6 166.0 1.9 167.0 7.5 168.0 1.8 169.0 11.0 170.0 1.1 171.0 3.1 181.0 4.6 183.0 5.3 185.0 1.9 187.0 1.0
400 MHz in DMSO-d6
More Suppliers






