WebSite > CAS DataBase List >
147-47-7More Spectrum > 1,2-Dihydro-2,2,4-trimethylquinoline(147-47-7)13CNMR
1,2-Dihydro-2,2,4-trimethylquinoline
Product Name 1,2-Dihydro-2,2,4-trimethylquinoline
CAS147-47-7
MFC12H15N
MW173.25
-
MS-NW-9570 2,2,4-trimethyl-1,2-dihydroquinoline C12H15N (Mass of molecular ion: 173)
Source Temperature: 250 °C Sample Temperature: 150 °C Reservoir, 75 eV
39.0 1.2 51.0 1.2 63.0 1.0 65.0 2.1 71.5 2.3 77.0 2.6 77.5 1.2 78.5 1.9 79.0 4.1 85.5 1.5 89.0 1.1 91.0 1.9 115.0 5.9 116.0 2.2 117.0 1.3 128.0 1.9 129.0 1.5 130.0 2.0 142.0 2.2 143.0 5.1 156.0 3.4 157.0 10.1 158.0 100.0 159.0 12.4 160.0 1.1 172.0 2.7 173.0 7.2 174.0 1.0 200.0 1.3
400 MHz in CDCl3
-
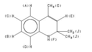
1H NMR 399.65 MHz C12 H15 N 0.05 ml : 0.5 ml CDCl3 2,2,4-trimethyl-1,2-dihydroquinoline 
Assign. Shift(ppm)
A 7.037 B 6.956 C 6.613 D 6.393 E 5.272 F 3.6 G 1.958 J 1.232 ASSIGNED BY C-H COSY. J(E,G)=-1.5HZ
Hz ppm Int.2817.14 7.050 87 2815.67 7.046 91 2809.57 7.031 92 2807.98 7.027 99 2788.82 6.979 52 2787.48 6.975 50 2781.37 6.960 83 2779.91 6.956 78 2773.68 6.941 63 2772.22 6.937 58 2650.76 6.633 77 2649.54 6.630 79 2643.31 6.615 112 2642.09 6.612 112 2635.74 6.596 64 2634.64 6.593 64 2559.57 6.405 102 2559.20 6.404 106 2558.35 6.402 105 2557.98 6.401 96 2551.64 6.385 96 2551.27 6.384 102 2550.42 6.382 96 2550.05 6.381 89 2107.91 5.275 131 2106.57 5.272 130 2105.22 5.268 58 783.57 1.961 504 782.10 1.957 480 492.55 1.233 1000
More Suppliers




