400 MHz in CDCl3
-
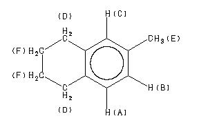
1H NMR 399.65 MHz C11 H14 22.6 mg : 0.5 ml CDCl3 6-methyltetralin 
Assign. Shift(ppm)
A 6.950 B 6.89 C 6.88 D 2.72 E 2.274 F 1.78
Hz ppm Int.2782.96 6.964 108 2775.39 6.945 212 2761.23 6.910 128 2760.74 6.908 138 2760.01 6.907 153 2750.98 6.884 247 1093.99 2.738 129 1087.65 2.722 357 1085.69 2.717 280 1081.18 2.706 169 908.94 2.275 1000 720.58 1.804 31 720.34 1.803 31 719.12 1.800 39 718.02 1.797 32 715.21 1.790 254 712.28 1.783 279 711.55 1.781 274 708.62 1.774 626 705.57 1.766 279 704.83 1.764 285 701.90 1.757 239 698.12 1.747 37 696.78 1.744 31
More Suppliers


