WebSite > CAS DataBase List >
1910-68-5More Spectrum > N-METHYLISATIN-3-THIOSEMICARBAZONE(1910-68-5)IR1
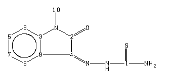
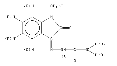
N-METHYLISATIN-3-THIOSEMICARBAZONE
Product Name N-METHYLISATIN-3-THIOSEMICARBAZONE
CAS1910-68-5
MFC10H10N4OS
MW234.28



