SpectrumDetail Supplier Related Products
WebSite > CAS DataBase List >  194-59-2More Spectrum > 7H-DIBENZO[C,G]CARBAZOLE(194-59-2)IR1

194-59-2

7H-DIBENZO[C,G]CARBAZOLE

Product Name 7H-DIBENZO[C,G]CARBAZOLE

CAS194-59-2

MFC20H13N

MW267.32

More

400 MHz in CDCl3

  • 194-59-2_1hnmr_0

    1H NMR 399.65 MHz
    C20 H13 N 0.037 g : 0.5 ml CDCl3
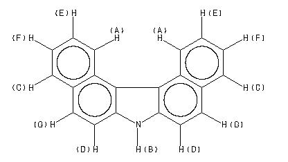
    7H-dibenzo(c,g)carbazole
    ChemicalStructure
        Assign.     Shift(ppm)
    A 9.178 B 8.24 C 7.978 D 7.731 E 7.644 F 7.481 G 7.345

         Hz     ppm     Int.
    

       3672.36   9.189    497
       3663.82   9.168    510
       3294.68   8.244    162
       3193.24   7.991    456
       3192.02   7.988    461
       3185.18   7.970    493
       3183.84   7.967    487
       3094.48   7.743    617
       3085.69   7.721    686
       3063.84   7.667    242
       3062.50   7.663    241
       3056.88   7.649    325
       3055.54   7.646    480
       3054.08   7.642    272
       3048.46   7.628    287
       3047.12   7.625    279
       2997.56   7.501    358
       2996.58   7.499    366
       2990.60   7.484    364
       2989.62   7.481    580
       2988.53   7.478    388
       2982.67   7.464    283
       2981.57   7.461    272
       2939.70   7.356   1000
       2931.03   7.334    907
    

in CDCl3

  • 194-59-2_13cnmr_0

KBr disc

  • 194-59-2_ir1_0