WebSite > CAS DataBase List >
19952-47-7More Spectrum > 2-AMINO-4-CHLOROBENZOTHIAZOLE(19952-47-7)IR1
2-AMINO-4-CHLOROBENZOTHIAZOLE
Product Name 2-AMINO-4-CHLOROBENZOTHIAZOLE
CAS19952-47-7
MFC7H5ClN2S
MW184.65
-
MS-NW-6186 2-amino-4-chlorobenzothiazole C7H5ClN2S (Mass of molecular ion: 184)
Source Temperature: 170 °C Sample Temperature: 140 °C Direct, 75 eV
18.0 3.4 28.0 1.9 37.0 1.2 38.0 1.0 39.0 1.4 45.0 3.6 50.0 1.1 51.0 1.1 60.0 1.7 61.0 1.3 62.0 2.4 63.0 5.1 64.0 1.0 69.0 5.7 70.0 1.4 71.0 1.0 73.0 1.3 74.0 1.3 75.0 1.3 76.0 1.6 78.0 1.0 81.0 1.8 82.0 1.3 90.0 1.0 92.0 5.5 93.0 2.8 94.0 1.3 95.0 4.5 97.0 1.2 105.0 2.1 106.0 1.5 107.0 3.8 120.0 1.3 121.0 4.0 122.0 27.8 123.0 2.7 124.0 2.0 130.0 4.6 132.0 1.9 139.0 1.2 142.0 2.1 148.0 1.3 149.0 10.8 150.0 1.2 152.0 1.5 156.0 1.6 157.0 12.1 158.0 1.6 159.0 4.8 183.0 1.4 184.0 100.0 185.0 9.9 186.0 35.9 187.0 3.4 188.0 1.7
400 MHz in DMSO-d6
-
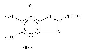
1H NMR 399.65 MHz C7 H5 Cl N2 S 0.039 g : 0.5 ml DMSO-d6 2-amino-4-chlorobenzothiazole 
Assign. Shift(ppm)
A 7.95 B 7.662 C 7.320 D 7.027
Hz ppm Int.3193.60 7.991 30 3192.99 7.990 32 3192.38 7.988 34 3191.77 7.987 37 3177.37 7.951 1000 3163.82 7.917 39 3163.21 7.915 36 3066.65 7.674 513 3065.80 7.672 533 3062.38 7.663 91 3058.84 7.654 552 3057.98 7.652 553 2930.30 7.333 495 2929.57 7.331 509 2926.51 7.323 89 2922.49 7.313 575 2921.63 7.311 563 2816.04 7.047 422 2808.23 7.027 736 2800.29 7.007 353
More Suppliers
- Amadis Chemical Company Limited
- Capot Chemical Co.,Ltd.
- ATK CHEMICAL COMPANY LIMITED
- Nanjing Dolon Biotechnology Co.,Ltd.
- Hefei Hirisun Pharmatech Co., Ltd
- Alchem Pharmtech,Inc.
- Wuhan Chemwish Technology Co., Ltd
- CONIER CHEM AND PHARMA LIMITED
- Shanghai Safer Pharmaceutical Technology Co., Ltd.
- SIMAGCHEM CORP






