WebSite > CAS DataBase List >
20279-21-4More Spectrum > 1,2,3,10B-TETRAHYDROFLUORANTHENE(20279-21-4)MS
1,2,3,10B-TETRAHYDROFLUORANTHENE
Product Name 1,2,3,10B-TETRAHYDROFLUORANTHENE
CAS20279-21-4
MFC16H14
MW206.28
-
MS-NW-5995 1,2,3,10b-tetrahydrofluoranthene C16H14 (Mass of molecular ion: 206)
Source Temperature: 270 °C Sample Temperature: 190 °C Reservoir, 75 eV
39.0 1.1 51.0 1.5 63.0 2.9 74.0 1.6 75.0 2.9 76.0 11.3 76.5 1.6 77.0 1.2 81.5 1.2 82.5 2.4 87.0 2.1 88.0 6.9 88.5 1.4 89.0 15.7 89.5 2.7 94.0 1.2 94.5 3.8 95.0 1.8 99.0 1.1 100.0 3.7 100.5 1.5 101.0 7.6 101.5 2.3 102.0 2.5 103.0 3.4 126.0 1.1 127.0 1.0 128.0 1.0 139.0 1.3 150.0 2.4 151.0 4.2 152.0 5.7 153.0 1.1 163.0 2.2 164.0 1.1 165.0 6.7 166.0 1.3 174.0 1.1 175.0 1.4 176.0 7.8 177.0 5.7 178.0 100.0 179.0 16.7 180.0 1.5 189.0 6.4 190.0 5.0 191.0 4.5 200.0 3.6 201.0 3.1 202.0 14.7 203.0 13.0 204.0 6.7 205.0 18.8 206.0 62.3 207.0 11.1 208.0 1.0
400 MHz in CDCl3
-
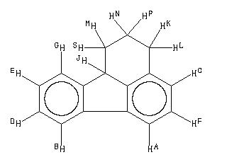
1H NMR 399.65 MHz C16 H14 0.040 g : 0.5 ml CDCl3 1,2,3,10b-tetrahydrofluoranthene 
Assign. Shift(ppm)
A 7.757 B 7.55 C 7.53 D 7.292 E 7.287 F 7.255 G 7.059 J 3.652 K *1 3.043 L *1 2.766 M *2 2.561 N *3 2.12 P *3 2.10 S *2 1.218 ASSIGNED BY H-H AND C-H COSY
Hz ppm Int.3093.99 7.742 678 3087.40 7.726 595 3086.55 7.724 770 3009.77 7.532 685 3009.16 7.530 666 3005.49 7.521 400 3004.52 7.518 708 3003.42 7.516 848 3002.44 7.513 1000 2998.17 7.502 424 2997.07 7.500 719 2996.34 7.498 678 2995.24 7.495 348 2939.45 7.356 258 2938.35 7.353 324 2937.50 7.351 247 2932.01 7.337 616 2931.15 7.335 739 2930.05 7.332 542 2924.56 7.318 421 2923.71 7.316 481 2922.61 7.313 351 2912.96 7.289 481 2912.23 7.287 457 2908.94 7.279 669 2907.71 7.276 690 2905.52 7.271 933 2904.79 7.269 895 2901.61 7.261 940 2900.39 7.258 904 2897.95 7.252 504 2897.22 7.250 475 2894.17 7.242 383 2892.94 7.239 357 2814.82 7.044 767 2813.96 7.042 737 2807.37 7.025 663 2806.52 7.023 627 1454.35 3.640 262 1449.34 3.627 274 1442.14 3.609 278 1437.26 3.597 279 1217.77 3.048 133 1214.36 3.039 136 1211.06 3.031 155 1210.21 3.029 151 1207.03 3.021 143 1200.56 3.005 185 1196.90 2.995 185 1193.73 2.987 210 1193.12 2.986 207 1189.94 2.978 198 1108.28 2.774 165 1107.91 2.773 164 1099.49 2.752 315 1091.06 2.731 303 1082.28 2.709 249 1073.85 2.687 144 1020.87 2.555 148 1016.48 2.544 255 1012.33 2.534 251 1011.35 2.531 226 1008.67 2.524 220 1007.93 2.523 219 1004.52 2.514 291 1000.73 2.505 248 999.76 2.502 270 995.61 2.492 173 857.54 2.146 253 856.81 2.144 223 853.76 2.137 362 852.54 2.134 259 851.44 2.131 271 849.73 2.127 464 847.90 2.122 491 845.70 2.117 518 844.60 2.114 307 843.51 2.111 405 841.92 2.107 363 840.09 2.103 364 838.75 2.099 244 836.67 2.094 330 834.35 2.088 186 832.64 2.084 188 829.59 2.076 156 825.07 2.065 162 493.04 1.234 171 487.92 1.221 115 487.18 1.220 105 482.06 1.207 272 480.96 1.204 333 475.83 1.191 248 474.85 1.189 199 469.97 1.176 405 468.75 1.173 196 464.23 1.162 318 457.89 1.146 189 452.03 1.132 142
More Suppliers




