SpectrumDetail Supplier Related Products
WebSite > CAS DataBase List >  2144-08-3More Spectrum > 2,3,4-Trihydroxybenzaldehyde(2144-08-3)MS

2144-08-3

2,3,4-Trihydroxybenzaldehyde

Product Name 2,3,4-Trihydroxybenzaldehyde

CAS2144-08-3

MFC7H6O4

MW154.12

  • 2144-08-3_ms_1
    Mass

    MS-NW-9874          
    2,3,4-trihydroxybenzaldehyde
    C7H6O4              (Mass of molecular ion:    154)
    

       Source Temperature: 160 °C
       Sample Temperature: 120 °C
       Direct, 75 eV
    

          27.0       1.1
          28.0       1.0
          29.0       2.6
          37.0       1.2
          38.0       1.9
          39.0       4.4
          40.0       1.1
          41.0       1.4
          42.0       1.0
          50.0       2.4
          51.0       7.6
          52.0       5.0
          53.0       4.3
          54.0       1.4
          55.0       2.5
          63.0       1.6
          68.0       1.4
          69.0       1.3
          77.0       2.9
          79.0      10.5
          80.0       3.1
          97.0       2.1
         107.0       5.7
         108.0       8.4
         124.0       1.1
         125.0       9.2
         126.0       1.9
         135.0       1.3
         136.0       6.2
         152.0       1.9
         153.0      99.4
         154.0     100.0
         155.0       9.3
         156.0       1.1
    

400 MHz in DMSO-d6

  • 2144-08-3_1hnmr_1

    1H NMR 399.65 MHz
    C7 H6 O4 0.033 g : 0.5 ml DMSO-d6
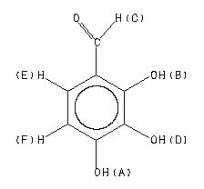
    2,3,4-trihydroxybenzaldehyde
    ChemicalStructure
        Assign.     Shift(ppm)
    A *1 10.8 B *1 10.4 C 9.851 D *1 8.82 E 7.118 F 6.510

         Hz     ppm     Int.
    

       3937.53   9.853   1000
       2849.34   7.130    531
       2843.66   7.116     23
       2840.73   7.109    555
       2606.09   6.521    502
       2597.67   6.500    464
    

in DMSO-d6

  • 2144-08-3_13cnmr_1

KBr disc

  • 2144-08-3_ir1_2

nujol mull

  • 2144-08-3_ir2_1