-
MS-NW-1052 cyclohexyl vinyl ether C8H14O (Mass of molecular ion: 126)
Source Temperature: 240 °C Sample Temperature: 130 °C Reservoir, 75 eV
15.0 2.3 18.0 3.2 26.0 1.0 27.0 11.1 28.0 2.7 29.0 8.7 31.0 1.4 39.0 10.8 40.0 1.3 41.0 44.5 42.0 3.1 43.0 4.7 44.0 3.4 45.0 3.1 51.0 1.3 53.0 4.6 54.0 13.6 55.0 100.0 56.0 5.1 57.0 4.4 67.0 46.7 68.0 2.9 79.0 2.0 80.0 1.1 81.0 7.4 82.0 62.8 83.0 49.8 84.0 3.3 126.0 10.6 127.0 1.1
90 MHz in CDCl3
-
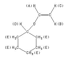
1H NMR 89.56 MHz C8 H14 O 0.04 ml : 0.5 ml CDCl3 cyclohexyl vinyl ether 
Assign. Shift(ppm)
A 6.326 B 4.287 C 3.975 D 3.73 E 2.21 to 0.98
Hz ppm Int.577.44 6.448 626 577.06 6.444 572 575.88 6.431 50 570.88 6.375 679 570.50 6.371 643 569.19 6.356 42 563.31 6.290 732 563.00 6.287 677 556.75 6.217 758 556.44 6.214 712 555.13 6.199 38 391.19 4.368 903 389.81 4.353 1000 377.00 4.210 749 375.69 4.195 886 359.88 4.019 977 358.50 4.003 959 353.31 3.945 972 351.88 3.929 870 333.69 3.726 185 160.44 1.792 583 140.69 1.571 417 133.19 1.488 463 130.06 1.453 502 121.25 1.354 882 113.38 1.266 732
More Suppliers
- Amadis Chemical Company Limited
- Hefei TNJ Chemical Industry Co.,Ltd.
- career henan chemical co
- Chongqing Chemdad Co., Ltd
- Connect Chemicals GmbH
- CONIER CHEM AND PHARMA LIMITED
- Hefei TNJ Chemical Industry Co.,Ltd.
- AFINE CHEMICALS LIMITED
- Dayang Chem (Hangzhou) Co.,Ltd.
- Hebei Shengyuan Jinlong Import and Export Co. LTD





