SpectrumDetail Supplier Related Products
WebSite > CAS DataBase List >  2622-26-6More Spectrum > PROPERICYAZINE(2622-26-6)IR2

2622-26-6

PROPERICYAZINE

Product Name PROPERICYAZINE

CAS2622-26-6

MFC21H23N3OS

MW365.49

  • 2622-26-6_ms_1
    Mass

    MS-IW-3440          
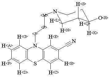
    10-(3-(4-hydroxypiperidino)propyl)-2-phenothiazinecarbonitrile
    C21H23N3OS          (Mass of molecular ion:    365)
    

       Source Temperature: 180 °C
       Sample Temperature: 190 °C
       Direct, 75 eV
    

          18.0       1.0
          28.0       1.6
          29.0       1.7
          30.0       1.5
          39.0       1.3
          41.0       3.8
          42.0       7.4
          43.0       3.8
          44.0      16.6
          45.0       1.2
          53.0       1.4
          55.0       2.3
          56.0       3.2
          57.0       2.4
          58.0       1.3
          68.0       1.2
          69.0       2.1
          70.0       3.8
          71.0       1.9
          77.0       1.1
          82.0       1.7
          83.0       1.1
          84.0       1.7
          96.0       2.8
          97.0       1.7
          98.0       2.7
         100.0       4.5
         101.0       1.1
         112.0       3.7
         113.0       2.3
         114.0     100.0
         115.0       9.1
         124.0       1.2
         126.0       2.9
         127.0       1.4
         128.0       8.3
         140.0       2.4
         141.0       4.3
         142.0      25.2
         143.0       2.2
         152.0       1.2
         164.0       1.4
         177.0       1.1
         179.0       2.6
         191.0       1.8
         192.0       3.5
         196.0       1.5
         204.0       1.6
         205.0       8.2
         206.0       1.5
         222.0       1.4
         223.0      11.8
         224.0      10.8
         225.0       2.2
         231.0       1.4
         235.0       1.5
         236.0       2.1
         237.0       7.4
         238.0       4.4
         239.0       1.0
         248.0       1.8
         249.0       2.9
         250.0       2.3
         251.0       1.6
         263.0      14.1
         264.0      16.6
         265.0       3.9
         266.0       1.3
         365.0      38.7
         366.0       9.9
         367.0       2.9
    

400 MHz in CDCl3

  • 2622-26-6_1hnmr_1

    1H NMR 399.65 MHz
    C21 H23 N3 O S 0.032 g : 0.5 ml CDCl3
    10-(3-(4-hydroxypiperidino)propyl)-2-phenothiazinecarbonitrile
    ChemicalStructure
        Assign.     Shift(ppm)
    A 7.171 B 7.14 C 7.12 D 7.081 E 7.053 F 6.947 G 6.908 J 3.891 K 3.653 L 2.712 M 2.431 N 2.102 P 1.904 Q 1.86 R 1.83 S 1.532 ASSIGNED BY H-H AND C-H COSY.

         Hz     ppm     Int.
    

       2875.61   7.196    142
       2874.02   7.192    164
       2868.16   7.177    190
       2867.43   7.175    214
       2866.70   7.174    233
       2865.84   7.171    219
       2860.11   7.157    265
       2858.52   7.153    240
       2852.29   7.137    687
       2851.07   7.134    897
       2850.46   7.133   1000
       2849.85   7.131    957
       2842.53   7.113    105
       2842.04   7.112     81
       2834.96   7.094    259
       2833.50   7.090    264
       2827.27   7.075    366
       2825.93   7.072    329
       2818.97   7.054    453
       2818.36   7.053    473
       2784.06   6.967    199
       2782.96   6.964    247
       2776.61   6.948    284
       2775.51   6.945    328
       2769.04   6.929    153
       2767.94   6.926    171
       2765.14   6.919    288
       2764.28   6.917    269
       2756.96   6.899    248
       2756.10   6.897    228
       1562.13   3.909    254
       1555.18   3.892    389
       1548.22   3.874    274
       1468.99   3.676     46
       1468.75   3.676     46
       1464.11   3.664     67
       1459.96   3.654     87
       1455.81   3.643     69
       1455.57   3.643     69
       1451.17   3.632     50
       1090.21   2.728    129
       1087.28   2.721    103
       1084.23   2.713    124
       1083.74   2.712    122
       1078.86   2.700    146
       1074.95   2.690     95
        978.88   2.450    282
        971.92   2.432    567
        964.97   2.415    334
        853.15   2.135     82
        850.95   2.130     92
        850.71   2.129     92
        841.19   2.105    166
        840.82   2.104    165
        831.79   2.082     92
        831.54   2.081     92
        830.32   2.078     90
        829.59   2.076     90
        776.49   1.943     78
        769.53   1.926    230
        762.57   1.909    312
        755.74   1.892    230
        751.59   1.881    102
        748.66   1.874    193
        745.85   1.867    147
        744.26   1.863    157
        742.07   1.857    126
        740.72   1.854    145
        738.89   1.849    156
        735.23   1.840    200
        733.52   1.836    192
        731.45   1.831    202
        720.21   1.803     37
        719.48   1.801     34
        629.64   1.576     75
        625.85   1.566     79
        619.87   1.552    122
        616.58   1.543    184
        613.16   1.535     92
        610.72   1.529     91
        607.18   1.520    168
        603.76   1.511    110
        597.78   1.496     63
        594.12   1.487     58
    

in CDCl3

  • 2622-26-6_13cnmr_1

KBr disc

  • 2622-26-6_ir1_2

nujol mull

  • 2622-26-6_ir2_1