WebSite > CAS DataBase List >
3099-28-3More Spectrum > 2,6-BIS(CHLOROMETHYL)PYRIDINE(3099-28-3)1HNMR
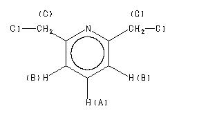
2,6-BIS(CHLOROMETHYL)PYRIDINE
Product Name 2,6-BIS(CHLOROMETHYL)PYRIDINE
CAS3099-28-3
MFC7H7Cl2N
MW176.04
-
MS-IW-5458 2,6-bis(chloromethyl)pyridine C7H7Cl2N (Mass of molecular ion: 175)
Source Temperature: 230 °C Sample Temperature: 150 °C Reservoir, 75 eV
26.0 1.2 27.0 2.2 28.0 1.7 36.0 1.3 37.0 2.1 38.0 5.9 39.0 15.4 40.0 1.5 41.0 1.9 49.0 3.8 50.0 4.1 51.0 9.8 51.5 2.7 52.0 5.5 53.0 1.4 61.0 1.9 62.0 3.5 63.0 10.9 64.0 8.2 65.0 8.4 66.0 1.2 69.5 4.7 70.5 1.5 73.0 3.3 75.0 3.0 76.0 2.4 77.0 35.1 78.0 9.7 79.0 1.3 90.0 12.9 91.0 4.1 99.0 4.4 100.0 5.7 101.0 1.7 102.0 4.2 103.0 1.6 104.0 47.7 105.0 14.0 106.0 1.0 112.0 1.7 113.0 6.0 114.0 1.8 115.0 1.9 126.0 3.2 128.0 1.0 139.0 34.7 140.0 69.1 141.0 16.7 142.0 22.3 143.0 1.8 175.0 100.0 176.0 8.7 177.0 64.9 178.0 5.4 179.0 10.7
400 MHz in CDCl3
More Suppliers
- Amadis Chemical Company Limited
- Changzhou Ansciep Chemical Co., Ltd.
- HaBo Hong Kong Co., Limited.
- Shandong chuangyingchemical Co., Ltd.
- career henan chemical co
- CONIER CHEM AND PHARMA LIMITED
- Dayang Chem (Hangzhou) Co.,Ltd.
- Labnetwork lnc.
- sgtlifesciences pvt ltd
- Antai Fine Chemical Technology Co.,Limited







