-
MS-IW-0747 o-ethoxybenzylamine C9H13NO (Mass of molecular ion: 151)
Source Temperature: 200 °C Sample Temperature: 160 °C Reservoir, 75 eV
27.0 3.7 28.0 9.0 29.0 3.7 30.0 11.9 38.0 1.1 39.0 6.5 40.0 1.3 41.0 3.0 43.0 1.2 44.0 17.4 50.0 2.4 51.0 8.3 52.0 3.2 53.0 2.2 54.0 1.4 55.0 1.4 63.0 3.0 64.0 1.7 65.0 6.9 66.0 6.4 67.0 4.0 75.0 1.0 76.0 1.7 77.0 35.7 78.0 23.0 79.0 11.9 80.0 1.4 89.0 1.8 90.0 2.5 91.0 15.0 92.0 3.1 93.0 4.9 94.0 15.0 95.0 38.7 96.0 2.8 102.0 1.7 103.0 1.2 104.0 17.1 105.0 14.1 106.0 38.7 107.0 22.3 108.0 3.2 115.0 1.9 116.0 1.5 117.0 3.3 119.0 22.7 120.0 6.6 121.0 5.9 122.0 100.0 123.0 9.7 132.0 1.4 133.0 27.7 134.0 82.3 135.0 21.2 136.0 23.2 137.0 2.1 148.0 10.9 149.0 1.2 150.0 50.1 151.0 63.0 152.0 7.2 268.0 1.4 283.0 1.0
90 MHz in CDCl3
-
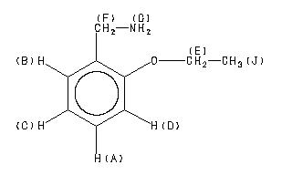
1H NMR 89.56 MHz C9 H13 N O 0.05 ml : 0.5 ml CDCl3 o-ethoxybenzylamine 
Assign. Shift(ppm)
A 7.15 B 7.14 C 6.84 D 6.80 E 4.011 F 3.789 G 1.76 J 1.402 COMFIRMED BY LAOCN CALCULATION
Hz ppm Int.651.94 7.280 67 650.13 7.260 138 647.38 7.229 107 646.81 7.223 111 645.00 7.202 187 642.56 7.175 170 640.31 7.150 181 638.38 7.128 221 636.25 7.105 214 634.38 7.084 76 622.31 6.949 132 621.06 6.935 184 614.50 6.862 260 613.25 6.848 318 610.50 6.817 71 607.81 6.787 110 605.81 6.765 145 604.19 6.747 100 370.13 4.133 130 363.13 4.055 413 356.13 3.977 439 351.25 3.922 48 349.19 3.899 162 339.38 3.790 842 158.19 1.767 525 132.38 1.479 515 125.44 1.401 1000 118.44 1.323 464
More Suppliers





