SpectrumDetail Supplier Related Products
WebSite > CAS DataBase List >  50-89-5More Spectrum > Thymidine(50-89-5)MS

50-89-5

Thymidine

Product Name Thymidine

CAS50-89-5

MFC10H14N2O5

MW242.23

More

  • 50-89-5_ms
    Mass

    MS-NW-8319          
    thymidine
    C10H14N2O5          (Mass of molecular ion:    242)
    

       Source Temperature: 200 °C
       Sample Temperature: 180 °C
       Direct, 75 eV
    

          15.0       3.2
          17.0       1.1
          18.0       5.6
          19.0       7.4
          26.0       2.4
          27.0      12.8
          28.0      19.3
          29.0      11.4
          30.0       1.5
          31.0      11.0
          38.0       1.5
          39.0      11.8
          40.0       8.1
          41.0      14.1
          42.0       9.1
          43.0      41.8
          44.0      11.1
          45.0      51.8
          46.0       1.2
          47.0       2.6
          52.0       2.3
          53.0       5.5
          54.0      13.7
          55.0      36.0
          56.0       5.2
          57.0      10.3
          58.0       1.3
          67.0       2.5
          68.0       5.2
          69.0      16.6
          70.0       6.4
          71.0      22.4
          72.0       1.5
          73.0      50.3
          74.0       1.9
          75.0       1.6
          80.0       5.2
          81.0       7.4
          82.0       6.4
          83.0      10.7
          84.0       3.2
          85.0       3.3
          86.0       1.0
          87.0       1.8
          94.0       1.2
          96.0       2.2
          97.0       6.6
          98.0      12.2
          99.0      31.4
         100.0       1.9
         109.0       2.2
         110.0      14.4
         111.0       1.1
         116.0       2.3
         117.0     100.0
         118.0       5.8
         122.0       2.3
         126.0      40.6
         127.0      28.1
         128.0       2.1
         150.0       3.2
         153.0       4.6
         154.0       2.3
         206.0       1.3
         242.0       4.2
    

400 MHz in DMSO-d6

  • 50-89-5_1hnmr

    1H NMR 399.65 MHz
    C10 H14 N2 O5 0.035 g : 0.5 ml DMSO-d6
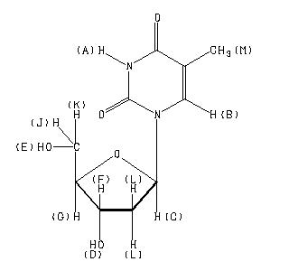
    thymidine
    ChemicalStructure
        Assign.     Shift(ppm)
    A 11.3 B 7.711 C 6.181 D 5.25 E 5.04 F 4.257 G 3.769 J *1 3.60 K *1 3.55 L 2.08 M 1.781 ASSIGNED BY H-H COSY

         Hz     ppm     Int.
    

       4514.16  11.296    180
       3082.43   7.713    291
       3081.36   7.711    286
       2476.96   6.198    107
       2470.70   6.183    171
       2463.23   6.164    108
       2099.00   5.253    256
       2094.88   5.242    262
       2020.26   5.056     91
       2015.08   5.043    198
       2009.89   5.030     91
       1705.32   4.268     32
       1701.97   4.259     74
       1697.85   4.249     93
       1693.27   4.237     70
       1689.45   4.228     31
       1511.84   3.783     59
       1508.18   3.774    159
       1505.13   3.767    159
       1501.46   3.757     65
       1447.75   3.623     34
       1446.69   3.620     37
       1442.57   3.610     39
       1439.97   3.604     87
       1435.85   3.593    101
       1434.94   3.591    107
       1430.51   3.580    124
       1425.48   3.567    114
       1421.05   3.556     79
       1418.30   3.549     40
       1413.42   3.537     39
        841.98   2.107    104
        836.18   2.093    105
        834.20   2.088    162
        830.08   2.078    128
        828.86   2.074    136
        827.64   2.071    129
        823.97   2.062    103
        820.47   2.053     36
        712.43   1.783   1000
        711.36   1.780    947
    

in D2O

in DMSO-d6

  • 50-89-5_13cnmr_2

  • 50-89-5_13cnmr

KBr disc

  • 50-89-5_ir1_2

nujol mull

  • 50-89-5_ir2

4880 A,200 M,powder

  • 50-89-5_raman