WebSite > CAS DataBase List >
5325-97-3More Spectrum > 1,2,3,4,5,6,7,8-OCTAHYDROPHENANTHRENE(5325-97-3)Raman
1,2,3,4,5,6,7,8-OCTAHYDROPHENANTHRENE
Product Name 1,2,3,4,5,6,7,8-OCTAHYDROPHENANTHRENE
CAS5325-97-3
MFC14H18
MW186.29
-
MS-NW-0087 1,2,3,4,5,6,7,8-octahydrophenanthrene C14H18 (Mass of molecular ion: 186)
Source Temperature: 220 °C Sample Temperature: 95 °C Reservoir, 75 eV
18.0 1.3 27.0 2.1 28.0 2.5 29.0 1.5 39.0 4.2 41.0 3.5 51.0 3.3 53.0 2.0 55.0 1.9 63.0 2.9 64.0 1.5 65.0 2.7 67.0 2.2 70.5 1.1 71.0 1.2 75.0 1.1 76.0 2.8 77.0 5.3 78.0 2.3 79.0 2.2 81.0 1.7 82.0 1.0 89.0 2.6 91.0 6.9 95.0 1.0 96.0 2.0 97.0 2.4 102.0 1.4 103.0 1.5 104.0 2.8 105.0 2.4 115.0 14.4 116.0 3.5 117.0 6.0 118.0 1.0 127.0 5.2 128.0 20.1 129.0 27.4 130.0 14.8 131.0 5.6 139.0 1.5 141.0 11.2 142.0 6.7 143.0 28.8 144.0 14.7 145.0 28.4 146.0 3.3 151.0 1.0 152.0 3.1 153.0 3.3 154.0 1.9 155.0 3.0 156.0 2.1 157.0 17.3 158.0 65.1 159.0 8.6 165.0 3.5 169.0 1.3 171.0 4.0 178.0 2.7 179.0 4.4 180.0 7.4 181.0 1.2 184.0 3.0 185.0 10.5 186.0 100.0 187.0 15.2 188.0 1.1
400 MHz in CDCl3
90 MHz in CDCl3
-
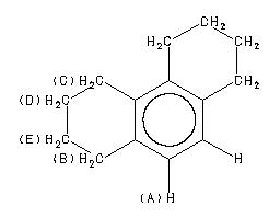
1H NMR 399.65 MHz C14 H18 13.0 mg : 0.5 ml CDCl3 1,2,3,4,5,6,7,8-octahydrophenanthrene 
Assign. Shift(ppm)
A 6.859 B 2.737 C 2.557 D 1.817 E 1.744
Hz ppm Int.2741.21 6.860 1000 1100.22 2.753 217 1093.99 2.738 398 1087.77 2.722 205 1028.56 2.574 197 1022.34 2.559 443 1018.92 2.550 54 1015.87 2.542 253 739.26 1.850 69 735.96 1.842 71 733.28 1.835 144 729.74 1.826 166 728.15 1.822 209 723.39 1.811 177 721.92 1.807 206 718.75 1.799 91 717.90 1.797 82 717.04 1.795 78 715.33 1.790 100 714.11 1.787 77 712.28 1.783 35 710.94 1.779 34 710.21 1.778 40 708.01 1.772 92 706.42 1.768 117 704.59 1.764 136 703.74 1.761 115 701.54 1.756 164 700.20 1.753 235 698.61 1.749 232 696.17 1.742 137 694.34 1.738 222 692.26 1.733 183 689.33 1.725 170 686.28 1.718 63 683.47 1.711 52 682.62 1.709 46
-
1H NMR 89.56 MHz C14 H18 0.04 ml : 0.5 ml CDCl3 1,2,3,4,5,6,7,8-octahydrophenanthrene 
Assign. Shift(ppm)
A 6.84 B 2.73 C 2.55 D 1.82 E 1.73
Hz ppm Int.612.94 6.844 1000 250.88 2.802 135 250.50 2.798 137 250.00 2.792 136 249.06 2.781 124 244.50 2.731 339 241.69 2.699 215 240.44 2.685 230 240.13 2.682 232 234.75 2.622 165 234.44 2.618 164 234.00 2.613 162 232.88 2.601 173 231.94 2.590 163 228.69 2.554 333 222.69 2.487 194 218.00 2.435 30 176.19 1.968 38 174.56 1.950 64 173.63 1.939 44 171.69 1.918 72 170.81 1.908 69 168.69 1.884 99 165.50 1.848 233 163.69 1.828 244 162.00 1.809 555 159.13 1.777 540 158.50 1.770 536 155.50 1.737 460 153.31 1.712 220 151.63 1.694 185 149.38 1.668 89 147.19 1.644 42 146.88 1.641 42 146.56 1.637 44 145.50 1.625 52 145.13 1.621 51 144.31 1.612 36 144.00 1.608 36 143.63 1.604 39






