WebSite > CAS DataBase List >
6104-41-2More Spectrum > Pyrimidine, 4-methoxy- (6CI,7CI,8CI,9CI)(6104-41-2)1HNMR
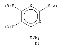
Pyrimidine, 4-methoxy- (6CI,7CI,8CI,9CI)
Product Name Pyrimidine, 4-methoxy- (6CI,7CI,8CI,9CI)
CAS6104-41-2
MFC5H6N2O
MW110.11
More Suppliers

