SpectrumDetail Supplier Related Products
WebSite > CAS DataBase List >  6145-73-9More Spectrum > Tris(2-chloropropyl) phosphate(6145-73-9)IR1

6145-73-9

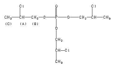
Tris(2-chloropropyl) phosphate

Product Name Tris(2-chloropropyl) phosphate

CAS6145-73-9

MFC9H18Cl3O4P

MW327.56

More

  • 6145-73-9_1hnmr_0


        Assign.     Shift(ppm)
    A 4.69 B 3.63 C 1.462
    Spectral Code: 1H NMR : 90 MHz in CDCl3

  • 6145-73-9_13cnmr_0


           ppm   Int.  Assign.
    74.78 1000 P 1 74.56 841 P 1 47.80 647 P 2 47.55 682 P 2 19.28 821 P 3 19.14 871 P 3
    Spectral Code: 13C NMR : in CDCl3

  • 6145-73-9_ir1_0

    Spectral Code: IR : liquid film

  • 6145-73-9_raman_0

    Spectral Code: Raman : 4880 A,200 M,liquid