SpectrumDetail Supplier Related Products
WebSite > CAS DataBase List >  6620-98-0More Spectrum > SER-SER-SER(6620-98-0)13CNMR

6620-98-0

SER-SER-SER

Product Name SER-SER-SER

CAS6620-98-0

MFC9H17N3O7

MW279.25

More

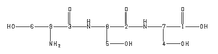
  • 6620-98-0_13cnmr_0


           ppm   Int.  Assign.
    176.41 228 1 171.44 507 2 168.90 368 3 62.89 791 4 62.00 838 5 60.99 825 6 57.96 480 7 56.63 1000 8 55.47 764 9
    Spectral Code: 13C NMR : in D2O

SER-SER-SER(6620-98-0)13CNMR Atlas of Related Products