WebSite > CAS DataBase List >
6954-55-8More Spectrum > 4-FLUORENECARBOXYLIC ACID TECH. 90(6954-55-8)IR1
4-FLUORENECARBOXYLIC ACID TECH. 90
Product Name 4-FLUORENECARBOXYLIC ACID TECH. 90
CAS6954-55-8
MFC14H10O2
MW210.23
-
MS-NW-6913 4-fluorenecarboxylic acid C14H10O2 (Mass of molecular ion: 210)
Source Temperature: 220 °C Sample Temperature: 150 °C Direct, 75 eV
39.0 2.3 45.0 2.9 50.0 2.2 51.0 2.3 62.0 2.8 63.0 5.4 69.5 3.1 74.0 3.2 75.0 2.6 76.0 2.8 77.0 1.3 81.0 2.3 81.5 5.1 82.0 7.8 82.5 4.7 86.0 2.9 87.0 4.0 88.0 1.3 89.0 2.1 91.0 1.0 96.0 1.4 98.0 1.8 99.0 1.2 105.0 2.7 110.0 1.2 111.0 1.6 113.0 2.1 115.0 4.0 126.0 1.5 127.0 1.2 137.0 1.8 138.0 1.4 139.0 6.3 150.0 1.0 151.0 2.2 152.0 6.9 153.0 2.9 161.0 1.0 162.0 2.8 163.0 20.8 164.0 30.9 165.0 100.0 166.0 58.3 167.0 7.4 192.0 10.4 193.0 2.7 209.0 2.5 210.0 64.0 211.0 10.2 212.0 1.1
400 MHz in DMSO-d6
-
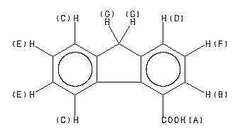
1H NMR 399.65 MHz C14 H10 O2 0.040 g : 0.5 ml DMSO-d6 4-fluorenecarboxylic acid 
Assign. Shift(ppm)
A 13.3 B 8.391 C 7.76 D 7.613 E 7.41 F 7.37 G 3.965
Hz ppm Int.3357.19 8.401 239 3355.48 8.397 279 3348.43 8.379 268 3107.39 7.776 341 3103.12 7.765 341 3102.27 7.763 339 3099.70 7.757 403 3095.64 7.746 361 3047.78 7.627 218 3041.37 7.611 255 3039.87 7.607 235 2968.50 7.428 327 2965.29 7.420 126 2961.02 7.410 620 2958.03 7.402 287 2953.33 7.390 578 2947.13 7.375 294 2945.64 7.371 264 2939.87 7.357 103 2938.37 7.353 77 1584.68 3.966 1000
More Suppliers




